🇳🇴 🇬🇧 🇩🇪 🇨🇿 🇫🇮

Meteor, poloha: Kragerø 2018-03-17 23:28:49 UTC

Soubor KML  |  InteraktivnĂ­ mapa

Mapa zobrazuje dráhy meteoru. Světlejší čáry ukazují směry od pozorovacích stanic při objevení se meteoru a tmavší čáry, kde byl naposledy viděn. Modrá šipka značí viditelnou dráhu meteoru.

static map
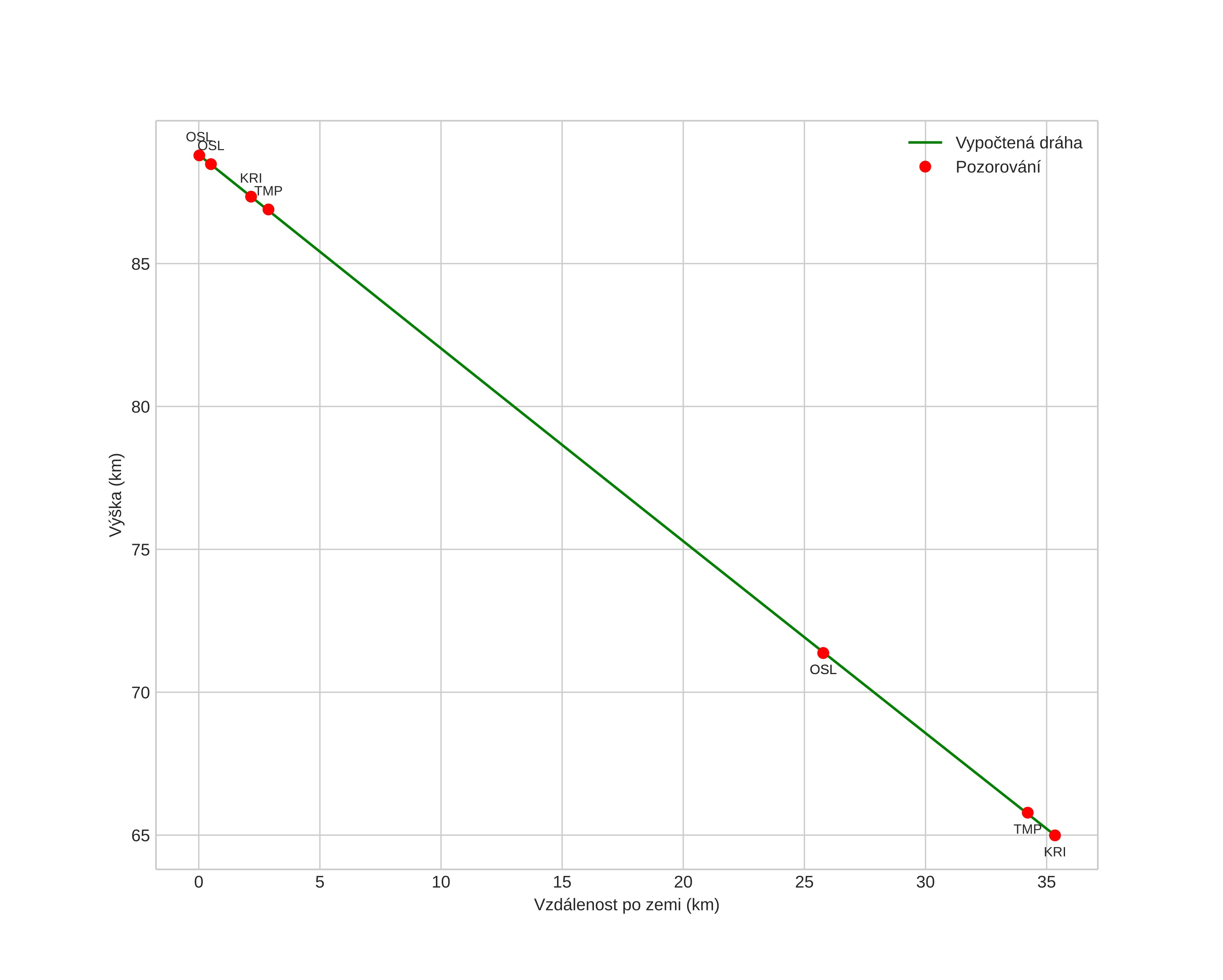
height profile
Atmosférická dráha meteoru:
Počáteční výška: 88,8 km
Konečná výška: 65,0 km
Počáteční poloha: 58,970N 9,135E
Konečná poloha: 58,740N 9,559E
Směr: 136,2°
Sklon: 34,0°
VstupnĂ­ rychlost: 16,4 km/s
Rektascenze radiantu: 03:53 (58,4°)
Deklinace radiantu: 43,5°
MeteorickĂ˝ roj: sporadickĂ˝
Elementy dráhy meteoroidu:
Vzdálenost v periheliu: 0,982 AU
Excentricita: 0,886
Sklon dráhy: 6,7°
Délka vzestupného uzlu: 357,1°
Argument perihelia: 166,3°
Střední anomálie: 0,4°
Epocha: 2018 MAR 17 23:28:49
orbit plot

NeinteraktivnĂ­ graf | InteraktivnĂ­ graf

position vs time
speed and acceleration