🇳🇴 🇬🇧 🇩🇪 🇨🇿 🇫🇮

Meteor, poloha: Nordstranda 2018-03-19 03:17:32 UTC

Soubor KML  |  Interaktivní mapa

Mapa zobrazuje dráhy meteoru. Světlejší čáry ukazují směry od pozorovacích stanic při objevení se meteoru a tmavší čáry, kde byl naposledy viděn. Modrá šipka značí viditelnou dráhu meteoru.

static map
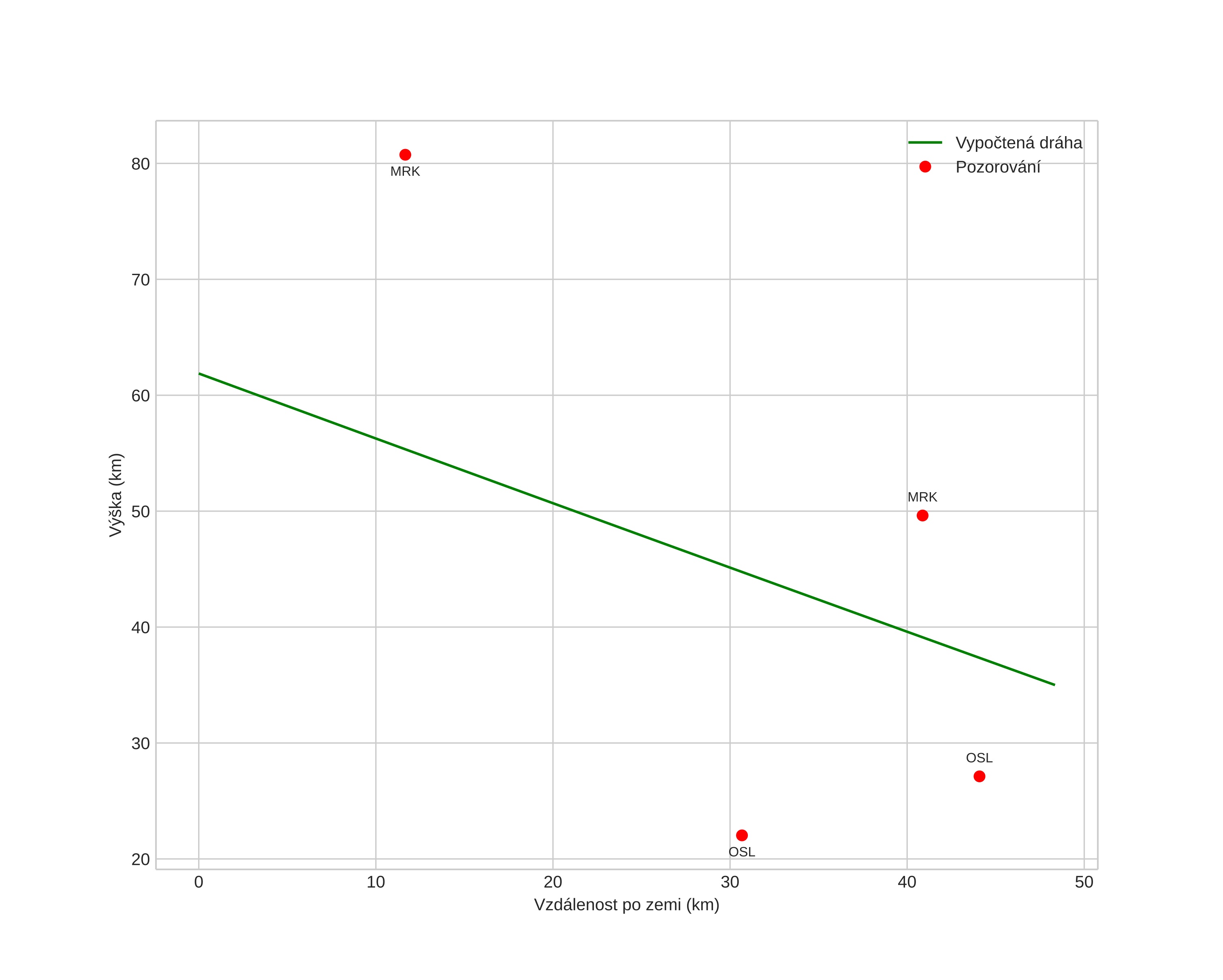
height profile
Atmosférická dráha meteoru:
Počáteční výška: 61,9 km
Konečná výška: 35,0 km
Počáteční poloha: 63,113N 6,249E
Konečná poloha: 62,720N 5,840E
Směr: 205,6°
Sklon: 29,1°
position vs time
speed and acceleration