🇳🇴 🇬🇧 🇩🇪 🇨🇿 🇫🇮

Meteor, poloha: Gjerstad 2018-03-19 20:54:37 UTC

Soubor KML  |  InteraktivnĂ­ mapa

Mapa zobrazuje dráhy meteoru. Světlejší čáry ukazují směry od pozorovacích stanic při objevení se meteoru a tmavší čáry, kde byl naposledy viděn. Modrá šipka značí viditelnou dráhu meteoru.

static map
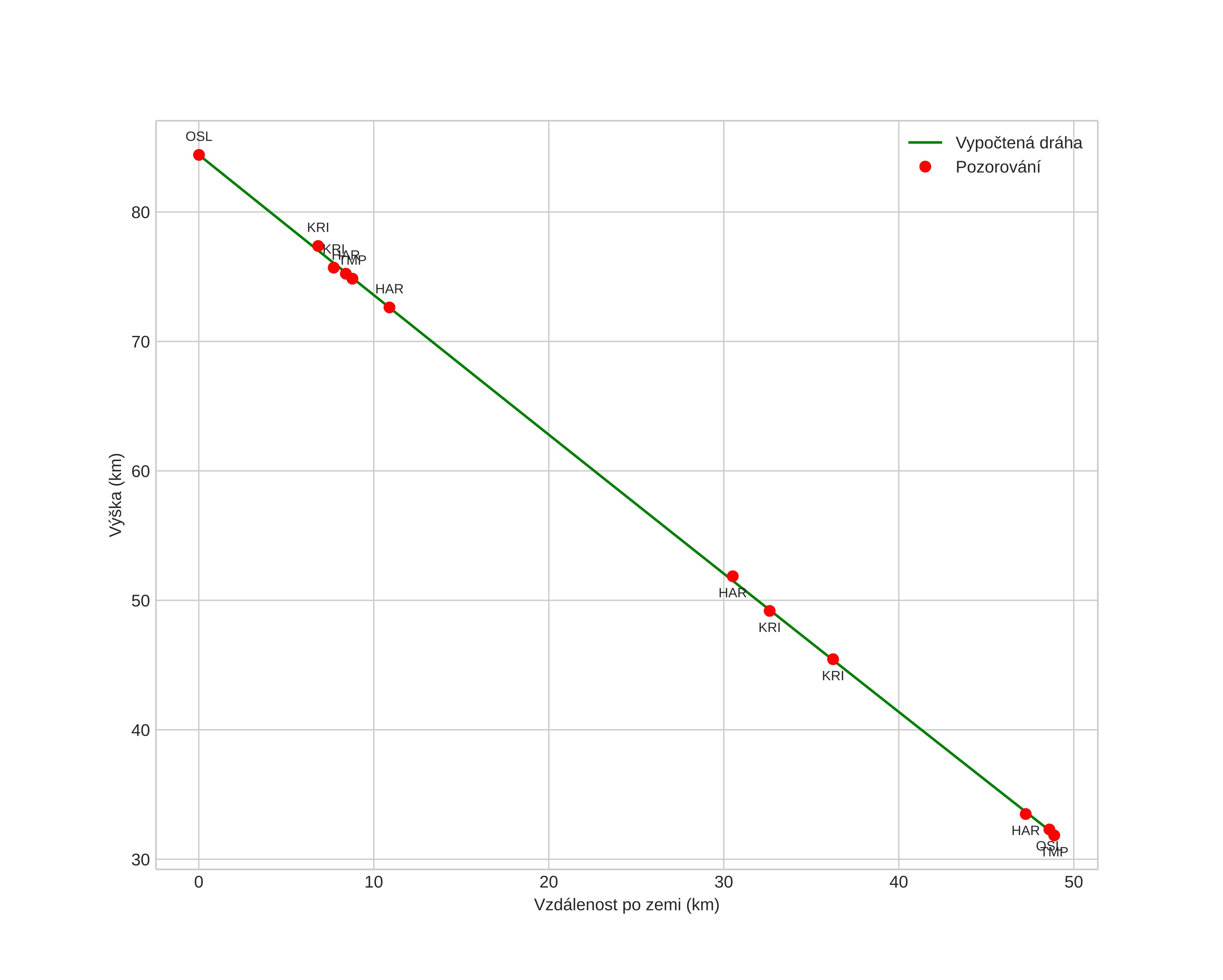
height profile
Atmosférická dráha meteoru:
Počáteční výška: 84,4 km
Konečná výška: 31,9 km
Počáteční poloha: 59,238N 8,455E
Konečná poloha: 58,960N 9,120E
Směr: 128,8°
Sklon: 47,0°
VstupnĂ­ rychlost: 13,2 km/s
Rektascenze radiantu: 02:22 (35,7°)
Deklinace radiantu: 47,3°
MeteorickĂ˝ roj: sporadickĂ˝
Elementy dráhy meteoroidu:
Vzdálenost v periheliu: 0,968 AU
Excentricita: 0,421
Sklon dráhy: 6,3°
Délka vzestupného uzlu: 359,0°
Argument perihelia: 155,1°
Střední anomálie: 9,4°
Epocha: 2018 MAR 19 20:54:37
orbit plot

NeinteraktivnĂ­ graf | InteraktivnĂ­ graf

position vs time
speed and acceleration