🇳🇴 🇬🇧 🇩🇪 🇨🇿 🇫🇮

Meteor, poloha: Årøysund 2018-03-19 23:45:33 UTC

Soubor KML  |  InteraktivnĂ­ mapa

Mapa zobrazuje dráhy meteoru. Světlejší čáry ukazují směry od pozorovacích stanic při objevení se meteoru a tmavší čáry, kde byl naposledy viděn. Modrá šipka značí viditelnou dráhu meteoru.

static map
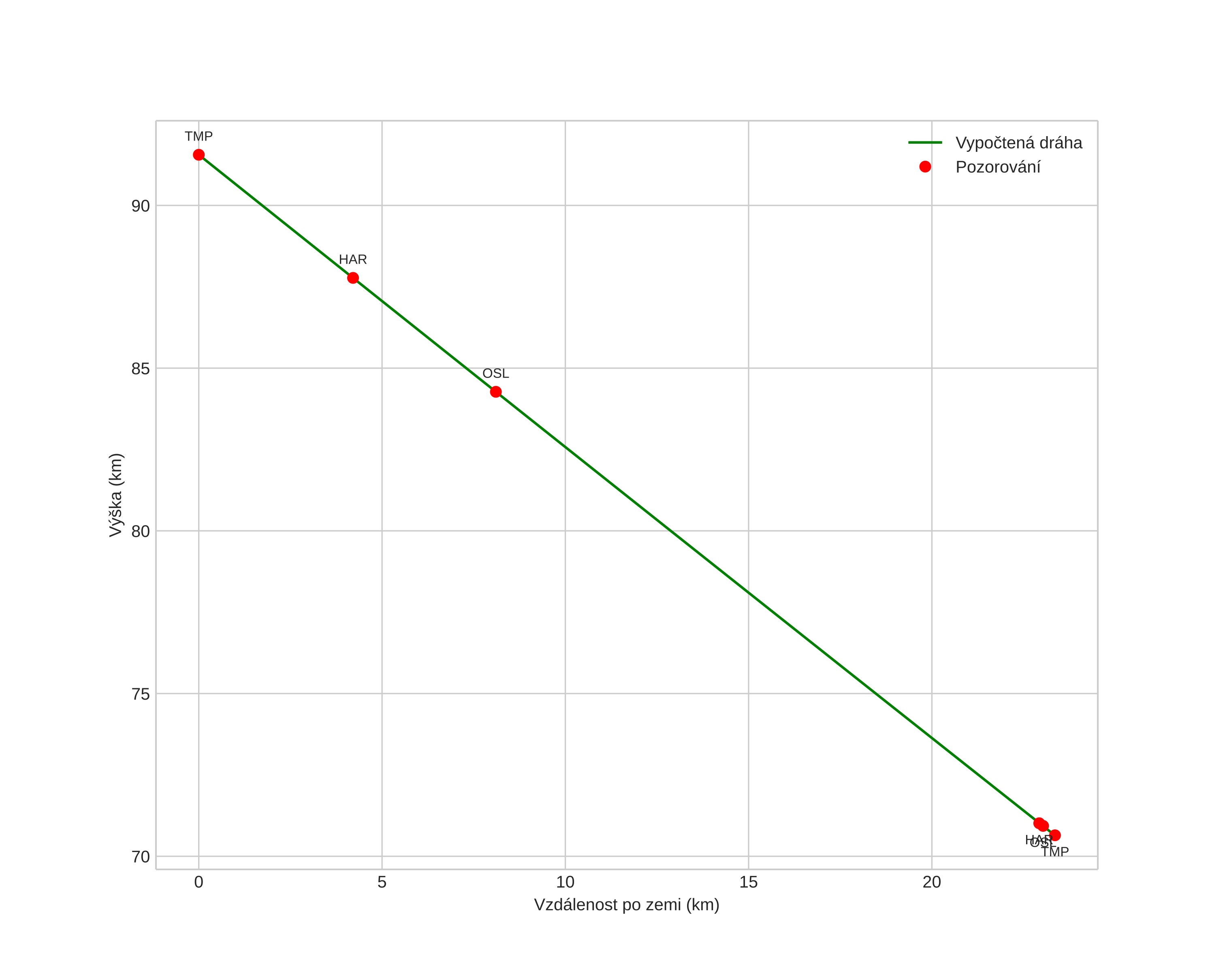
height profile
Atmosférická dráha meteoru:
Počáteční výška: 91,6 km
Konečná výška: 70,6 km
Počáteční poloha: 59,399N 10,719E
Konečná poloha: 59,214N 10,523E
Směr: 208,5°
Sklon: 42,0°
VstupnĂ­ rychlost: 25,7 km/s
Rektascenze radiantu: 20:41 (310,4°)
Deklinace radiantu: 63,4°
MeteorickĂ˝ roj: sporadickĂ˝
Elementy dráhy meteoroidu:
Vzdálenost v periheliu: 0,954 AU
Excentricita: 0,697
Sklon dráhy: 35,4°
Délka vzestupného uzlu: 359,1°
Argument perihelia: 154,0°
Střední anomálie: 3,4°
Epocha: 2018 MAR 19 23:45:33
orbit plot

NeinteraktivnĂ­ graf | InteraktivnĂ­ graf

position vs time
speed and acceleration