🇳🇴 🇬🇧 🇩🇪 🇨🇿 🇫🇮

Meteor, poloha: Sandane 2018-03-27 01:05:05 UTC

Soubor KML  |  InteraktivnĂ­ mapa

Mapa zobrazuje dráhy meteoru. Světlejší čáry ukazují směry od pozorovacích stanic při objevení se meteoru a tmavší čáry, kde byl naposledy viděn. Modrá šipka značí viditelnou dráhu meteoru.

static map
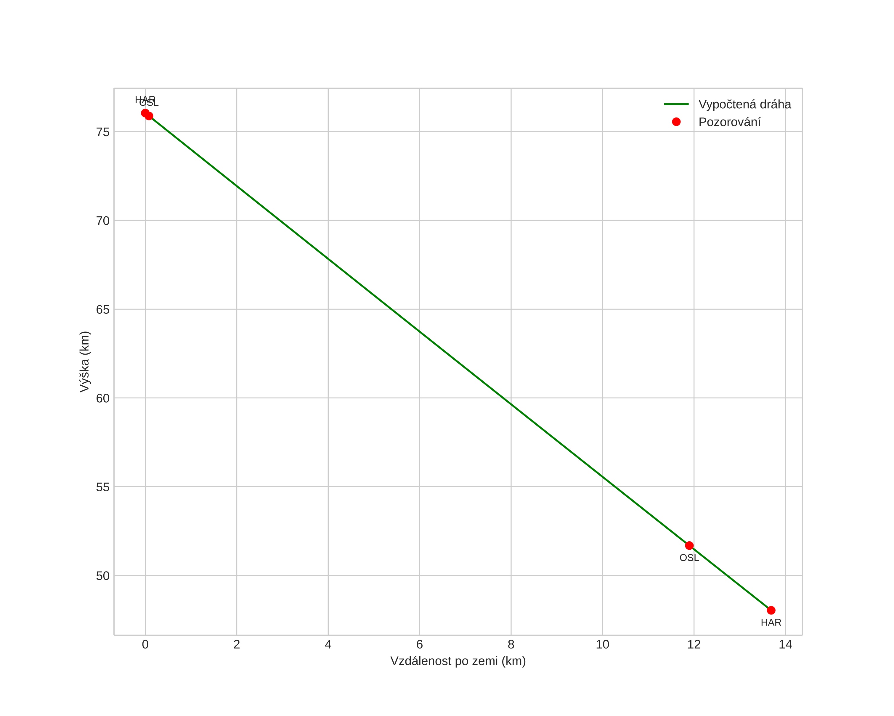
height profile
Atmosférická dráha meteoru:
Počáteční výška: 76,0 km
Konečná výška: 48,0 km
Počáteční poloha: 61,625N 6,301E
Konečná poloha: 61,503N 6,276E
Směr: 185,5°
Sklon: 63,9°
VstupnĂ­ rychlost: 19,0 km/s
Rektascenze radiantu: 20:22 (305,7°)
Deklinace radiantu: 88,0°
MeteorickĂ˝ roj: sporadickĂ˝
Elementy dráhy meteoroidu:
Vzdálenost v periheliu: 0,996 AU
Excentricita: 0,648
Sklon dráhy: 21,9°
Délka vzestupného uzlu: 6,1°
Argument perihelia: 174,7°
Střední anomálie: 0,9°
Epocha: 2018 MAR 27 01:05:05
orbit plot

NeinteraktivnĂ­ graf | InteraktivnĂ­ graf

position vs time
speed and acceleration