🇳🇴 🇬🇧 🇩🇪 🇨🇿 🇫🇮

Meteor, poloha: Hokksund 2018-04-20 20:49:57 UTC

Soubor KML  |  InteraktivnĂ­ mapa

Mapa zobrazuje dráhy meteoru. Světlejší čáry ukazují směry od pozorovacích stanic při objevení se meteoru a tmavší čáry, kde byl naposledy viděn. Modrá šipka značí viditelnou dráhu meteoru.

static map
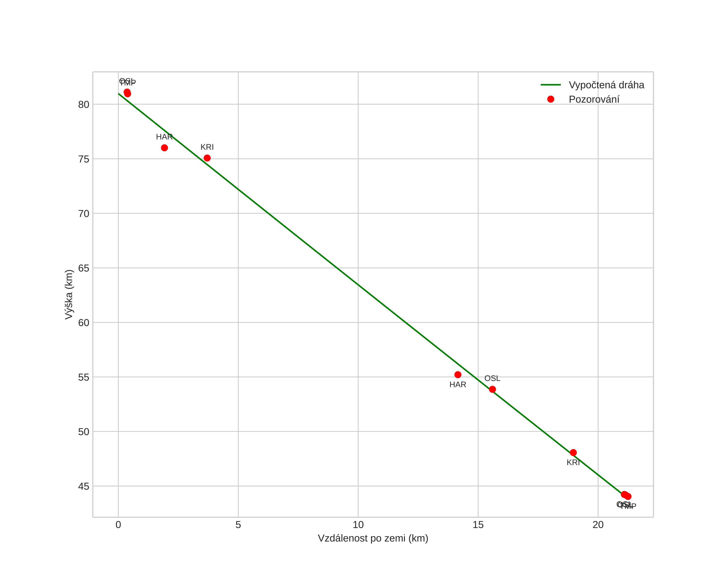
height profile
Atmosférická dráha meteoru:
Počáteční výška: 81,0 km
Konečná výška: 44,0 km
Počáteční poloha: 59,666N 10,199E
Konečná poloha: 59,773N 9,888E
Směr: 304,5°
Sklon: 60,2°
VstupnĂ­ rychlost: 17,7 km/s
Rektascenze radiantu: 13:35 (203,8°)
Deklinace radiantu: 34,4°
MeteorickĂ˝ roj: sporadickĂ˝
Elementy dráhy meteoroidu:
Vzdálenost v periheliu: 0,914 AU
Excentricita: 0,533
Sklon dráhy: 14,7°
Délka vzestupného uzlu: 30,5°
Argument perihelia: 222,2°
Střední anomálie: 348,4°
Epocha: 2018 APR 20 20:49:57
orbit plot

NeinteraktivnĂ­ graf | InteraktivnĂ­ graf

position vs time
speed and acceleration