🇳🇴 🇬🇧 🇩🇪 🇨🇿 🇫🇮

Meteor, poloha: Larsnes 2018-04-20 23:52:58 UTC

Soubor KML  |  InteraktivnĂ­ mapa

Mapa zobrazuje dráhy meteoru. Světlejší čáry ukazují směry od pozorovacích stanic při objevení se meteoru a tmavší čáry, kde byl naposledy viděn. Modrá šipka značí viditelnou dráhu meteoru.

static map
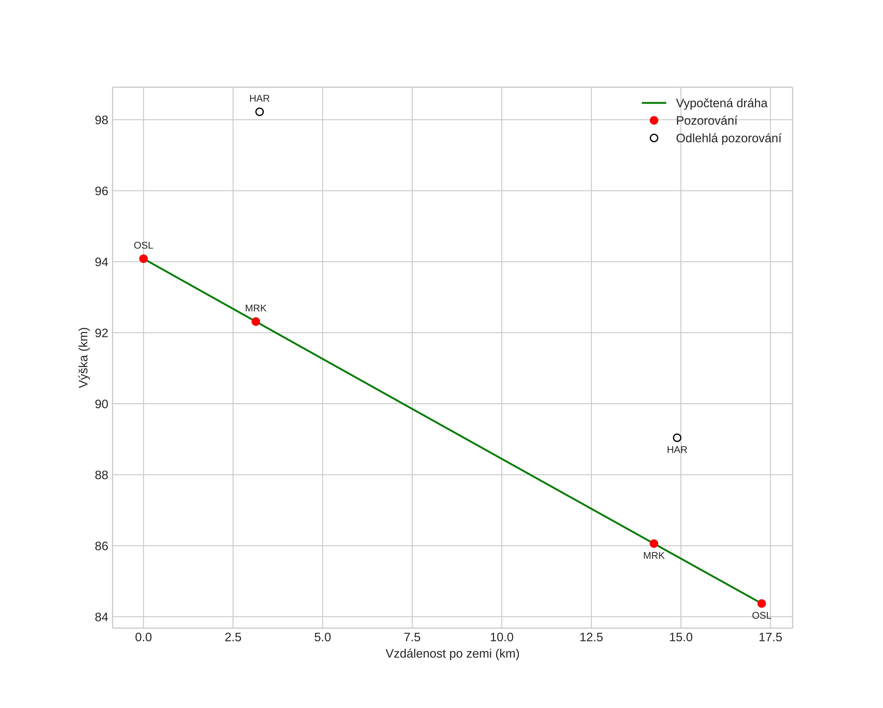
height profile
Atmosférická dráha meteoru:
Počáteční výška: 94,1 km
Konečná výška: 84,4 km
Počáteční poloha: 62,159N 5,397E
Konečná poloha: 62,309N 5,306E
Směr: 344,3°
Sklon: 29,3°
VstupnĂ­ rychlost: 31,7 km/s
Rektascenze radiantu: 15:03 (225,8°)
Deklinace radiantu: 0,2°
MeteorickĂ˝ roj: sporadickĂ˝
Elementy dráhy meteoroidu:
Vzdálenost v periheliu: 0,387 AU
Excentricita: 0,824
Sklon dráhy: 20,2°
Délka vzestupného uzlu: 30,6°
Argument perihelia: 291,1°
Střední anomálie: 346,8°
Epocha: 2018 APR 20 23:52:58
orbit plot

NeinteraktivnĂ­ graf | InteraktivnĂ­ graf

position vs time
speed and acceleration