🇳🇴 🇬🇧 🇩🇪 🇨🇿 🇫🇮

Meteor, poloha: Lampeland 2018-05-03 20:30:50 UTC

Soubor KML  |  InteraktivnĂ­ mapa

Mapa zobrazuje dráhy meteoru. Světlejší čáry ukazují směry od pozorovacích stanic při objevení se meteoru a tmavší čáry, kde byl naposledy viděn. Modrá šipka značí viditelnou dráhu meteoru.

static map
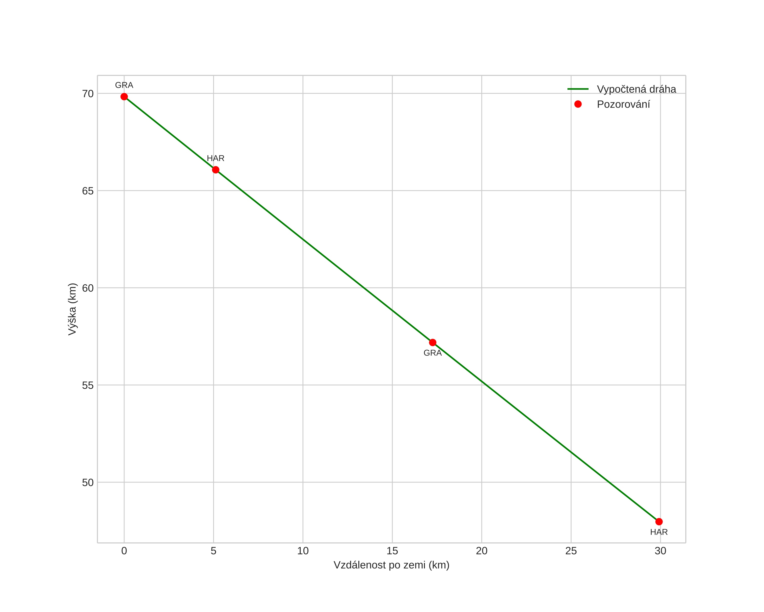
height profile
Atmosférická dráha meteoru:
Počáteční výška: 69,8 km
Konečná výška: 48,0 km
Počáteční poloha: 60,015N 9,216E
Konečná poloha: 59,822N 9,590E
Směr: 135,7°
Sklon: 36,1°
VstupnĂ­ rychlost: 35,0 km/s
Rektascenze radiantu: 04:28 (67,0°)
Deklinace radiantu: 51,4°
MeteorickĂ˝ roj: sporadickĂ˝
Elementy dráhy meteoroidu:
Vzdálenost v periheliu: 0,837 AU
Excentricita: 2,057
Sklon dráhy: 20,2°
Délka vzestupného uzlu: 43,1°
Argument perihelia: 138,4°
Střední anomálie: 29,4°
Epocha: 2018 MAY 03 20:30:50
orbit plot

NeinteraktivnĂ­ graf | InteraktivnĂ­ graf

position vs time
speed and acceleration