🇳🇴 🇬🇧 🇩🇪 🇨🇿 🇫🇮

Meteor, poloha: Skien 2018-05-22 23:31:02 UTC

Soubor KML  |  InteraktivnĂ­ mapa

Mapa zobrazuje dráhy meteoru. Světlejší čáry ukazují směry od pozorovacích stanic při objevení se meteoru a tmavší čáry, kde byl naposledy viděn. Modrá šipka značí viditelnou dráhu meteoru.

static map
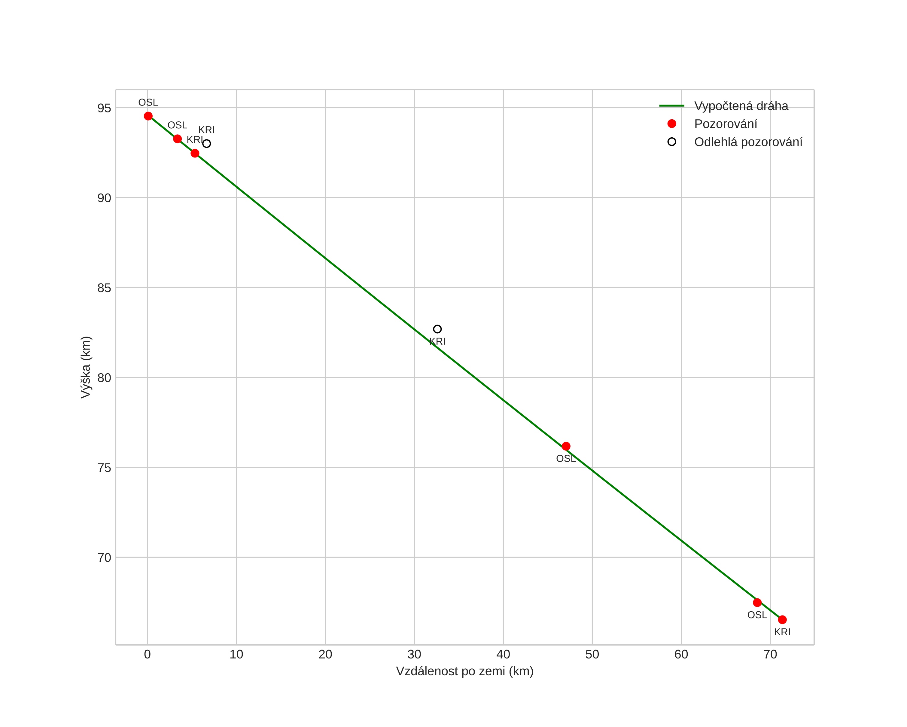
height profile
Atmosférická dráha meteoru:
Počáteční výška: 94,6 km
Konečná výška: 66,5 km
Počáteční poloha: 59,832N 9,322E
Konečná poloha: 59,198N 9,517E
Směr: 171,1°
Sklon: 21,5°
VstupnĂ­ rychlost: 20,9 km/s
Rektascenze radiantu: 05:01 (75,4°)
Deklinace radiantu: 44,6°
MeteorickĂ˝ roj: sporadickĂ˝
Elementy dráhy meteoroidu:
Vzdálenost v periheliu: 0,805 AU
Excentricita: 0,751
Sklon dráhy: 10,9°
Délka vzestupného uzlu: 61,6°
Argument perihelia: 121,5°
Střední anomálie: 6,4°
Epocha: 2018 MAY 22 23:31:02
orbit plot

NeinteraktivnĂ­ graf | InteraktivnĂ­ graf

position vs time
speed and acceleration