🇳🇴 🇬🇧 🇩🇪 🇨🇿 🇫🇮

Meteor, poloha: Flisa 2018-05-26 22:01:45 UTC

Soubor KML  |  InteraktivnĂ­ mapa

Mapa zobrazuje dráhy meteoru. Světlejší čáry ukazují směry od pozorovacích stanic při objevení se meteoru a tmavší čáry, kde byl naposledy viděn. Modrá šipka značí viditelnou dráhu meteoru.

static map
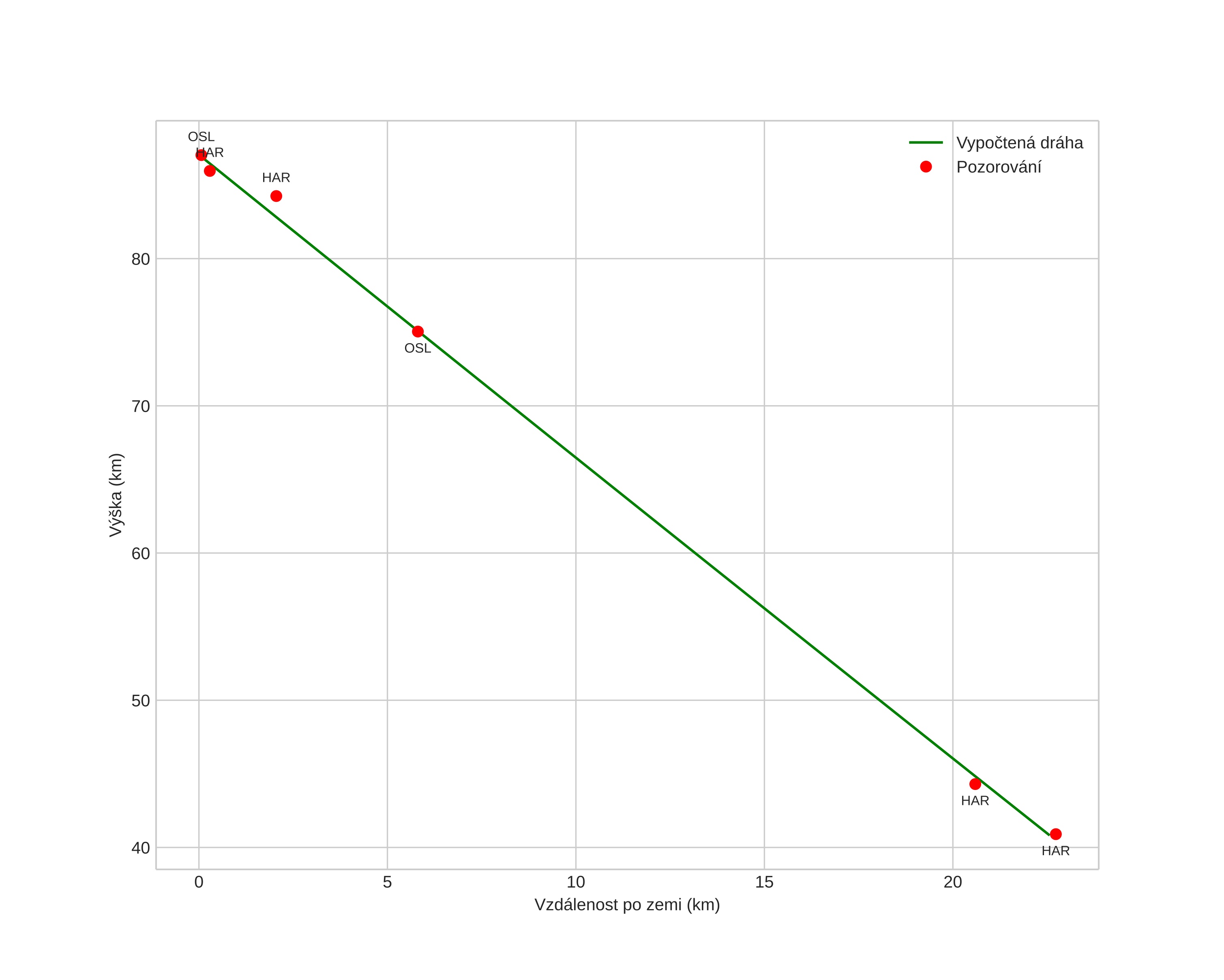
height profile
Atmosférická dráha meteoru:
Počáteční výška: 87,1 km
Konečná výška: 40,8 km
Počáteční poloha: 60,579N 12,306E
Konečná poloha: 60,778N 12,223E
Směr: 348,5°
Sklon: 64,0°
VstupnĂ­ rychlost: 20,3 km/s
Rektascenze radiantu: 15:30 (232,5°)
Deklinace radiantu: 32,5°
MeteorickĂ˝ roj: sporadickĂ˝
Elementy dráhy meteoroidu:
Vzdálenost v periheliu: 0,934 AU
Excentricita: 0,674
Sklon dráhy: 20,5°
Délka vzestupného uzlu: 65,4°
Argument perihelia: 216,2°
Střední anomálie: 354,5°
Epocha: 2018 MAY 26 22:01:45
orbit plot

NeinteraktivnĂ­ graf | InteraktivnĂ­ graf

position vs time
speed and acceleration