🇳🇴 🇬🇧 🇩🇪 🇨🇿 🇫🇮

Meteor, poloha: SkĂĄlevik 2018-06-20 00:05:05 UTC

Soubor KML  |  InteraktivnĂ­ mapa

Mapa zobrazuje dráhy meteoru. Světlejší čáry ukazují směry od pozorovacích stanic při objevení se meteoru a tmavší čáry, kde byl naposledy viděn. Modrá šipka značí viditelnou dráhu meteoru.

static map
height profile
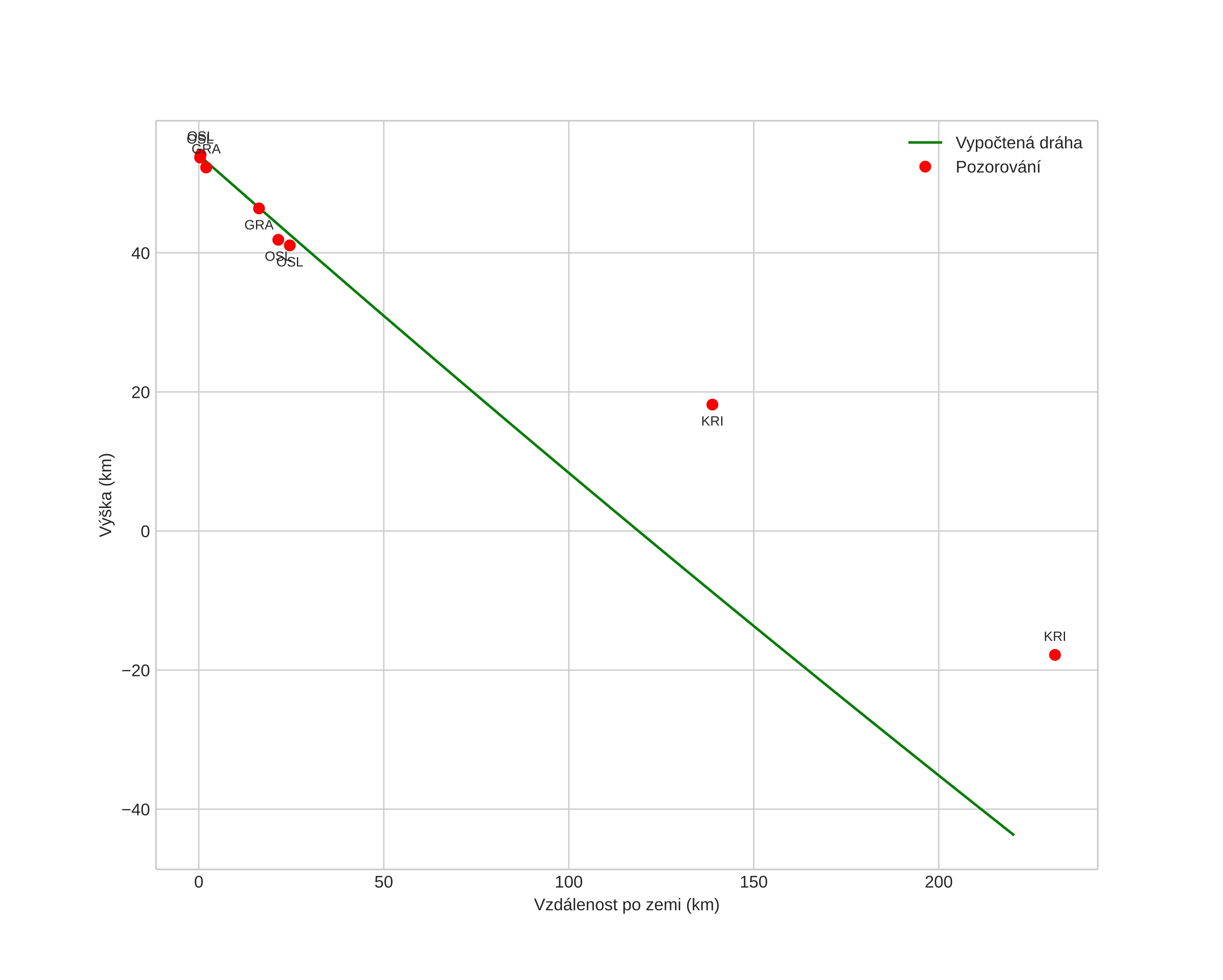
Atmosférická dráha meteoru:
Počáteční výška: 54,1 km
Konečná výška: -43,8 km
Počáteční poloha: 59,721N 8,832E
Konečná poloha: 57,786N 8,005E
Směr: 192,9°
Sklon: 23,9°
VstupnĂ­ rychlost: 13,1 km/s
Rektascenze radiantu: 05:36 (84,2°)
Deklinace radiantu: 30,8°
MeteorickĂ˝ roj: sporadickĂ˝
Elementy dráhy meteoroidu:
Vzdálenost v periheliu: 0,789 AU
Excentricita: 0,234
Sklon dráhy: 1,8°
Délka vzestupného uzlu: 88,5°
Argument perihelia: 79,5°
Střední anomálie: 73,5°
Epocha: 2018 JUN 20 00:05:05
orbit plot

NeinteraktivnĂ­ graf | InteraktivnĂ­ graf

position vs time
speed and acceleration