🇳🇴 🇬🇧 🇩🇪 🇨🇿 🇫🇮

Meteor, poloha: Egersund 2018-07-13 23:27:05 UTC

Soubor KML  |  InteraktivnĂ­ mapa

Mapa zobrazuje dráhy meteoru. Světlejší čáry ukazují směry od pozorovacích stanic při objevení se meteoru a tmavší čáry, kde byl naposledy viděn. Modrá šipka značí viditelnou dráhu meteoru.

static map
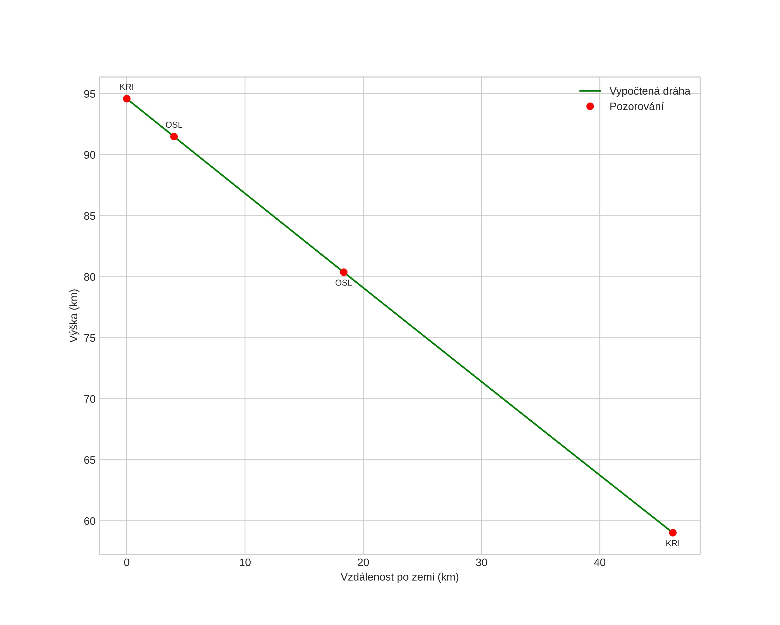
height profile
Atmosférická dráha meteoru:
Počáteční výška: 94,6 km
Konečná výška: 59,0 km
Počáteční poloha: 57,880N 5,532E
Konečná poloha: 58,276N 5,767E
Směr: 17,3°
Sklon: 37,6°
VstupnĂ­ rychlost: 22,5 km/s
Rektascenze radiantu: 18:15 (273,8°)
Deklinace radiantu: 2,7°
MeteorickĂ˝ roj: sporadickĂ˝
Elementy dráhy meteoroidu:
Vzdálenost v periheliu: 0,807 AU
Excentricita: 0,825
Sklon dráhy: 14,1°
Délka vzestupného uzlu: 111,3°
Argument perihelia: 237,0°
Střední anomálie: 356,3°
Epocha: 2018 JUL 13 23:27:05
orbit plot

NeinteraktivnĂ­ graf | InteraktivnĂ­ graf

position vs time
speed and acceleration