🇳🇴 🇬🇧 🇩🇪 🇨🇿 🇫🇮

Meteor, poloha: Ă…mot 2018-07-23 22:27:31 UTC

Soubor KML  |  InteraktivnĂ­ mapa

Mapa zobrazuje dráhy meteoru. Světlejší čáry ukazují směry od pozorovacích stanic při objevení se meteoru a tmavší čáry, kde byl naposledy viděn. Modrá šipka značí viditelnou dráhu meteoru.

static map
height profile
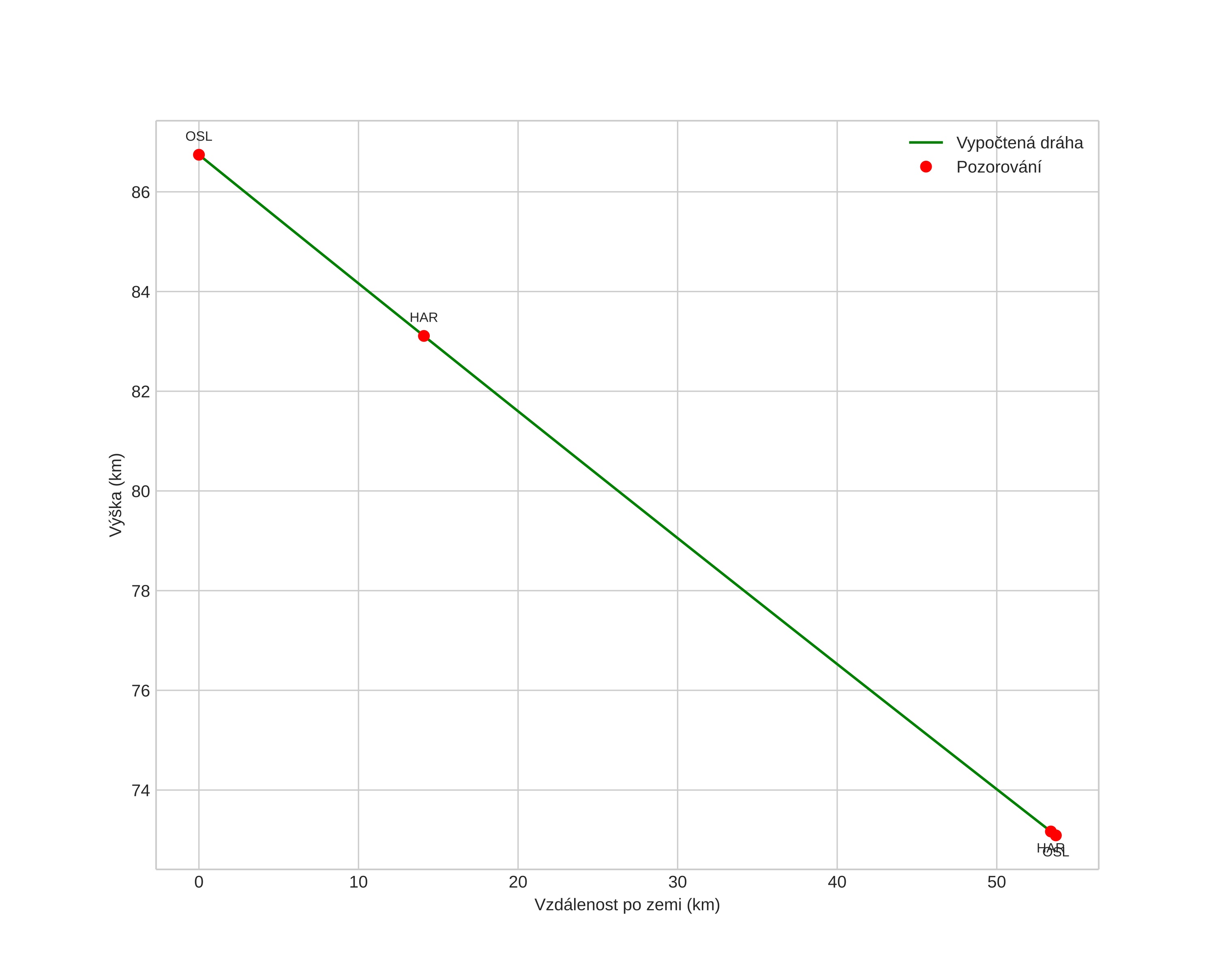
Atmosférická dráha meteoru:
Počáteční výška: 86,7 km
Konečná výška: 73,1 km
Počáteční poloha: 59,680N 8,327E
Konečná poloha: 60,101N 7,856E
Směr: 330,9°
Sklon: 14,2°
VstupnĂ­ rychlost: 25,8 km/s
Rektascenze radiantu: 21:04 (316,1°)
Deklinace radiantu: -17,0°
MeteorickĂ˝ roj: sporadickĂ˝
Elementy dráhy meteoroidu:
Vzdálenost v periheliu: 0,397 AU
Excentricita: 0,713
Sklon dráhy: 0,3°
Délka vzestupného uzlu: 300,3°
Argument perihelia: 118,1°
Střední anomálie: 329,7°
Epocha: 2018 JUL 23 22:27:31
orbit plot

NeinteraktivnĂ­ graf | InteraktivnĂ­ graf

position vs time
speed and acceleration