🇳🇴 🇬🇧 🇩🇪 🇨🇿 🇫🇮

Meteor, poloha: Tjøme 2018-08-02 22:07:17 UTC

Soubor KML  |  InteraktivnĂ­ mapa

Mapa zobrazuje dráhy meteoru. Světlejší čáry ukazují směry od pozorovacích stanic při objevení se meteoru a tmavší čáry, kde byl naposledy viděn. Modrá šipka značí viditelnou dráhu meteoru.

static map
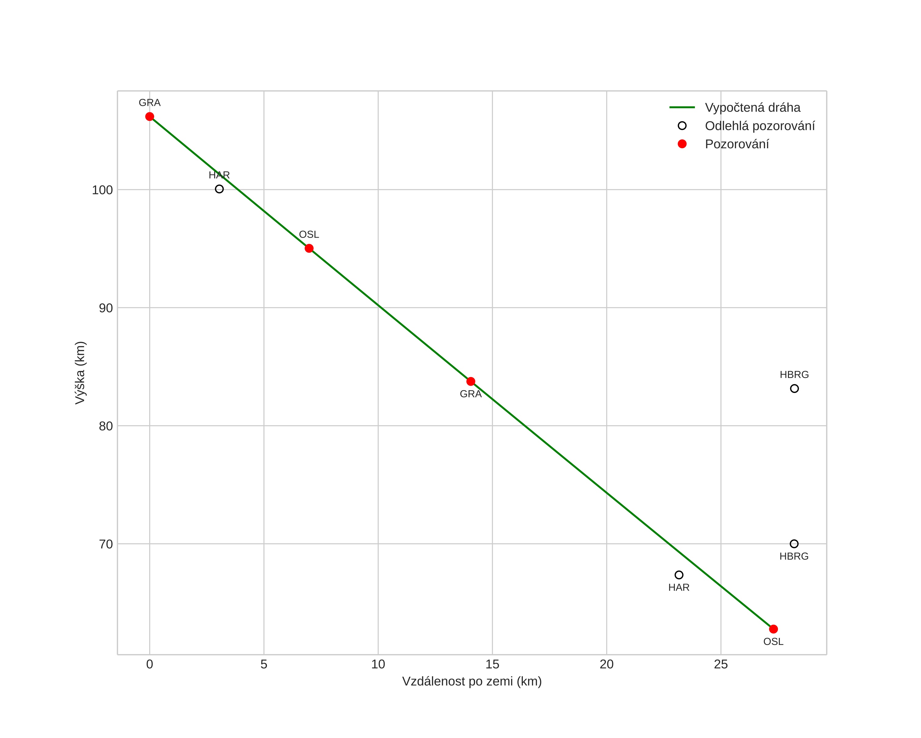
height profile
Atmosférická dráha meteoru:
Počáteční výška: 106,2 km
Konečná výška: 62,8 km
Počáteční poloha: 58,342N 10,944E
Konečná poloha: 58,427N 10,505E
Směr: 290,5°
Sklon: 57,8°
VstupnĂ­ rychlost: 66,7 km/s
Rektascenze radiantu: 22:13 (333,4°)
Deklinace radiantu: 38,2°
MeteorickĂ˝ roj: sporadickĂ˝
Elementy dráhy meteoroidu:
Vzdálenost v periheliu: 0,754 AU
Excentricita: 2,332
Sklon dráhy: 93,2°
Délka vzestupného uzlu: 130,3°
Argument perihelia: 230,7°
Střední anomálie: -52,6°
Epocha: 2018 AUG 02 22:07:17
orbit plot

NeinteraktivnĂ­ graf | InteraktivnĂ­ graf

position vs time
speed and acceleration