🇳🇴 🇬🇧 🇩🇪 🇨🇿 🇫🇮

Meteor, poloha: Kongsvinger 2018-08-03 20:34:53 UTC

Soubor KML  |  InteraktivnĂ­ mapa

Mapa zobrazuje dráhy meteoru. Světlejší čáry ukazují směry od pozorovacích stanic při objevení se meteoru a tmavší čáry, kde byl naposledy viděn. Modrá šipka značí viditelnou dráhu meteoru.

static map
height profile
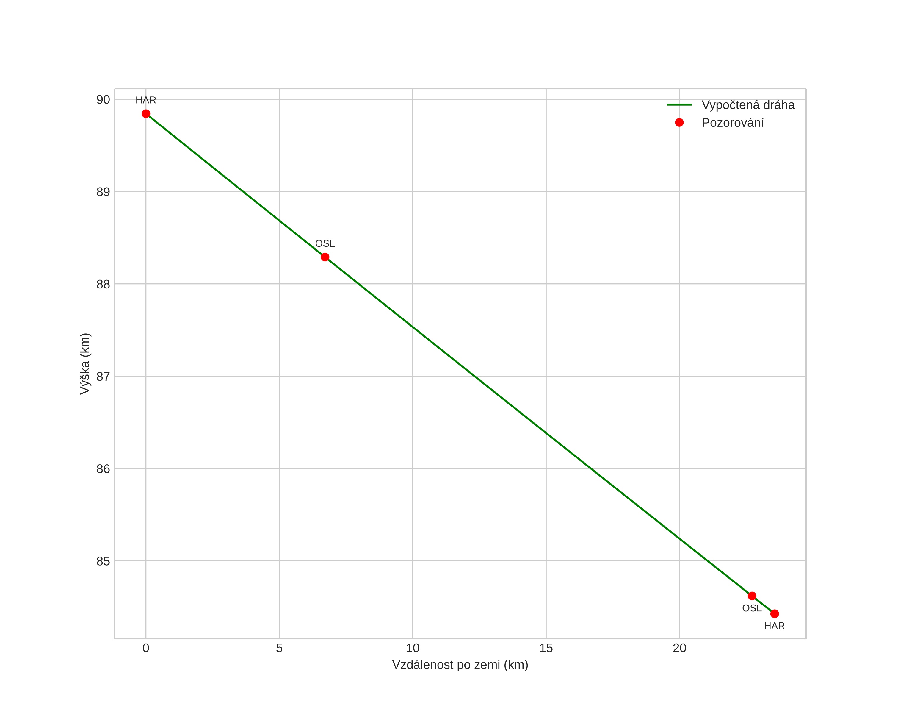
Atmosférická dráha meteoru:
Počáteční výška: 89,8 km
Konečná výška: 84,4 km
Počáteční poloha: 60,113N 12,206E
Konečná poloha: 60,301N 12,009E
Směr: 332,5°
Sklon: 12,9°
VstupnĂ­ rychlost: 23,1 km/s
Rektascenze radiantu: 20:05 (301,5°)
Deklinace radiantu: -19,7°
MeteorickĂ˝ roj: sporadickĂ˝
Elementy dráhy meteoroidu:
Vzdálenost v periheliu: 0,716 AU
Excentricita: 0,813
Sklon dráhy: 0,3°
Délka vzestupného uzlu: 131,5°
Argument perihelia: 249,5°
Střední anomálie: 354,6°
Epocha: 2018 AUG 03 20:34:53
orbit plot

NeinteraktivnĂ­ graf | InteraktivnĂ­ graf

position vs time
speed and acceleration