🇳🇴 🇬🇧 🇩🇪 🇨🇿 🇫🇮

Meteor, poloha: Hermansverk 2018-08-04 23:10:44 UTC

Soubor KML  |  InteraktivnĂ­ mapa

Mapa zobrazuje dráhy meteoru. Světlejší čáry ukazují směry od pozorovacích stanic při objevení se meteoru a tmavší čáry, kde byl naposledy viděn. Modrá šipka značí viditelnou dráhu meteoru.

static map
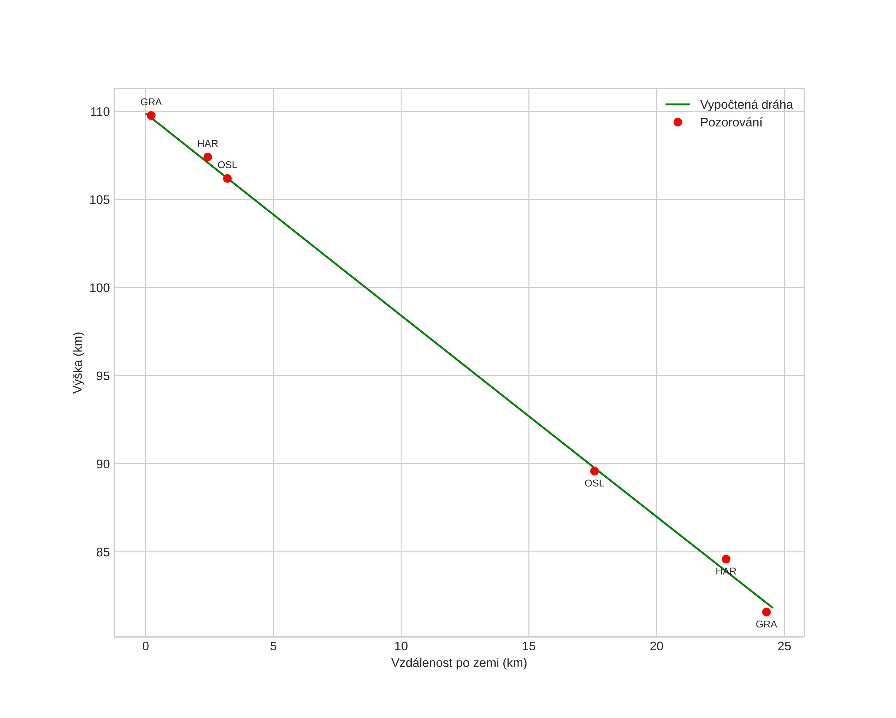
height profile
Atmosférická dráha meteoru:
Počáteční výška: 109,9 km
Konečná výška: 81,8 km
Počáteční poloha: 61,279N 6,840E
Konečná poloha: 61,496N 6,759E
Směr: 349,9°
Sklon: 48,9°
VstupnĂ­ rychlost: 38,0 km/s
Rektascenze radiantu: 20:57 (314,5°)
Deklinace radiantu: 19,3°
MeteorickĂ˝ roj: sporadickĂ˝
Elementy dráhy meteoroidu:
Vzdálenost v periheliu: 0,552 AU
Excentricita: 1,063
Sklon dráhy: 41,6°
Délka vzestupného uzlu: 132,3°
Argument perihelia: 263,4°
Střední anomálie: -1,4°
Epocha: 2018 AUG 04 23:10:44
orbit plot

NeinteraktivnĂ­ graf | InteraktivnĂ­ graf

position vs time
speed and acceleration