🇳🇴 🇬🇧 🇩🇪 🇨🇿 🇫🇮

Meteor, poloha: Løten 2018-08-11 01:03:29 UTC

Soubor KML  |  InteraktivnĂ­ mapa

Mapa zobrazuje dráhy meteoru. Světlejší čáry ukazují směry od pozorovacích stanic při objevení se meteoru a tmavší čáry, kde byl naposledy viděn. Modrá šipka značí viditelnou dráhu meteoru.

static map
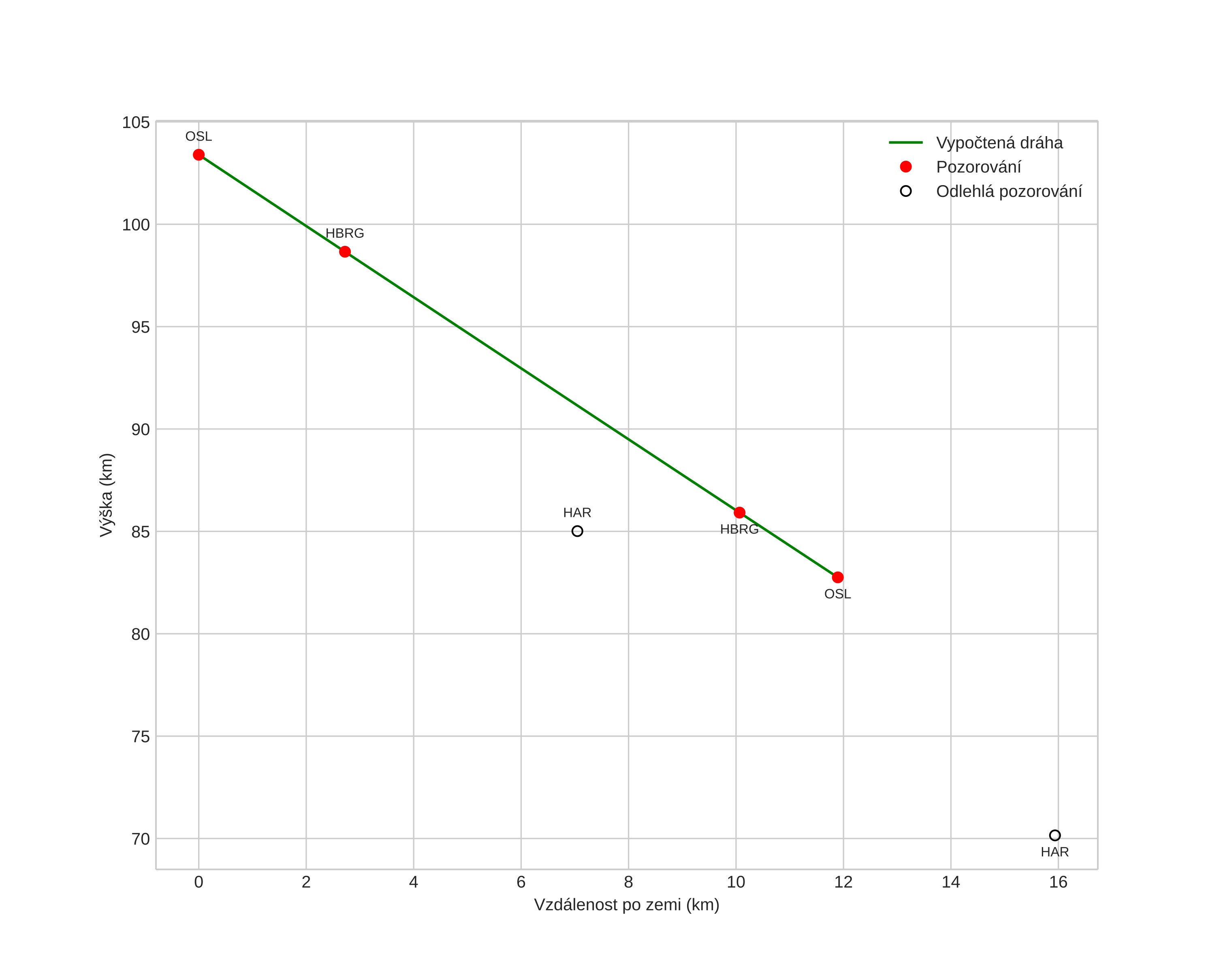
height profile
Atmosférická dráha meteoru:
Počáteční výška: 103,4 km
Konečná výška: 82,8 km
Počáteční poloha: 60,667N 11,592E
Konečná poloha: 60,630N 11,388E
Směr: 249,7°
Sklon: 60,0°
VstupnĂ­ rychlost: 59,7 km/s
Rektascenze radiantu: 03:05 (46,3°)
Deklinace radiantu: 57,0°
MeteorickĂ˝ roj: Perseidy
Elementy dráhy meteoroidu:
Vzdálenost v periheliu: 0,941 AU
Excentricita: 0,886
Sklon dráhy: 113,5°
Délka vzestupného uzlu: 138,1°
Argument perihelia: 147,9°
Střední anomálie: 0,9°
Epocha: 2018 AUG 11 01:03:29
orbit plot

NeinteraktivnĂ­ graf | InteraktivnĂ­ graf

position vs time
speed and acceleration