🇳🇴 🇬🇧 🇩🇪 🇨🇿 🇫🇮

Meteor, poloha: Ryggebyen 2018-08-12 21:26:06 UTC

Soubor KML  |  InteraktivnĂ­ mapa

Mapa zobrazuje dráhy meteoru. Světlejší čáry ukazují směry od pozorovacích stanic při objevení se meteoru a tmavší čáry, kde byl naposledy viděn. Modrá šipka značí viditelnou dráhu meteoru.

static map
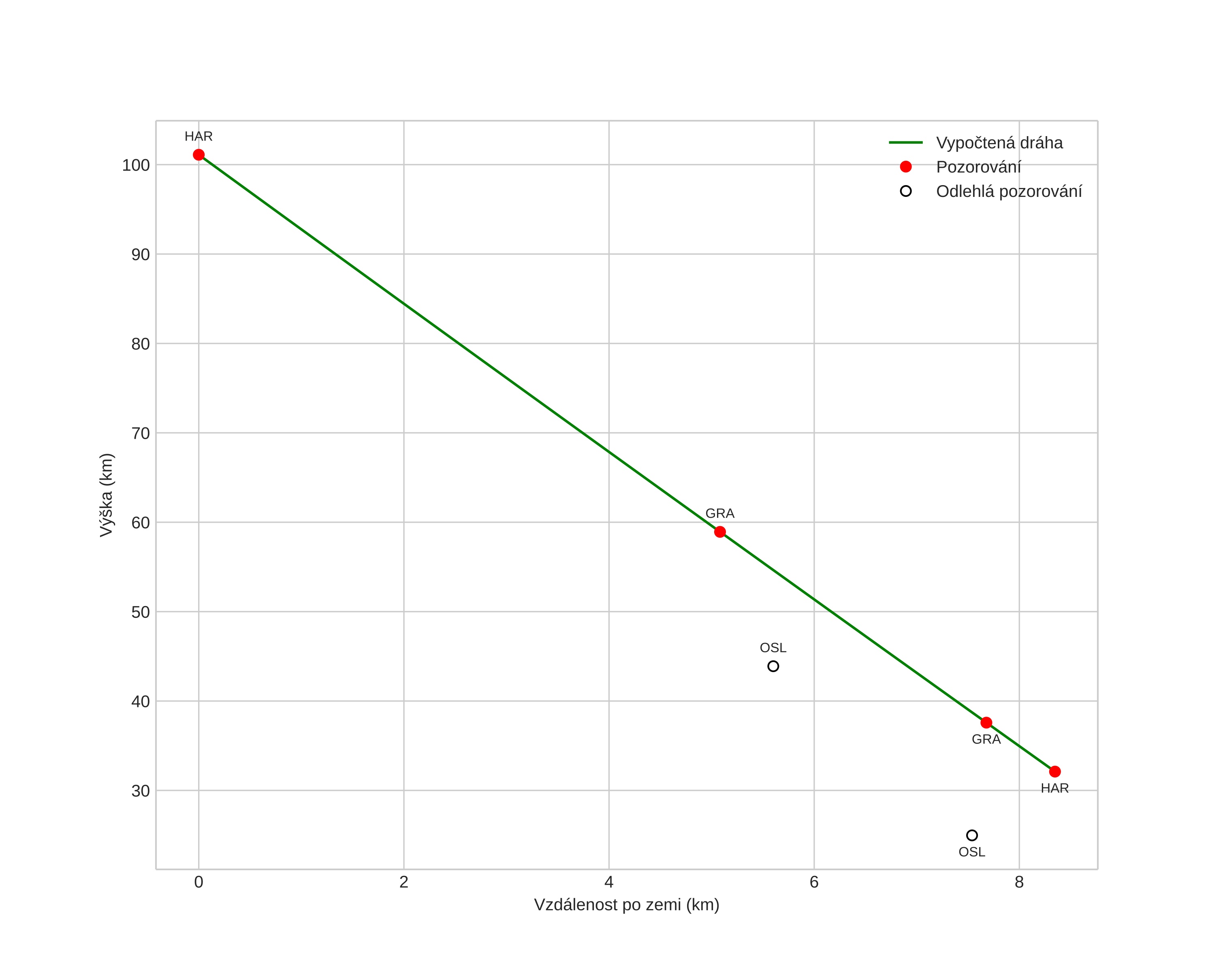
height profile
Atmosférická dráha meteoru:
Počáteční výška: 101,1 km
Konečná výška: 32,1 km
Počáteční poloha: 59,309N 10,682E
Konečná poloha: 59,373N 10,760E
Směr: 32,0°
Sklon: 83,1°
VstupnĂ­ rychlost: 18,8 km/s
Rektascenze radiantu: 19:01 (285,4°)
Deklinace radiantu: 52,4°
MeteorickĂ˝ roj: sporadickĂ˝
Elementy dráhy meteoroidu:
Vzdálenost v periheliu: 0,980 AU
Excentricita: 0,345
Sklon dráhy: 25,6°
Délka vzestupného uzlu: 139,9°
Argument perihelia: 209,3°
Střední anomálie: 346,3°
Epocha: 2018 AUG 12 21:26:06
orbit plot

NeinteraktivnĂ­ graf | InteraktivnĂ­ graf

position vs time
speed and acceleration