🇳🇴 🇬🇧 🇩🇪 🇨🇿 🇫🇮

Meteor, poloha: Elverum 2018-08-12 22:13:18 UTC

Soubor KML  |  InteraktivnĂ­ mapa

Mapa zobrazuje dráhy meteoru. Světlejší čáry ukazují směry od pozorovacích stanic při objevení se meteoru a tmavší čáry, kde byl naposledy viděn. Modrá šipka značí viditelnou dráhu meteoru.

static map
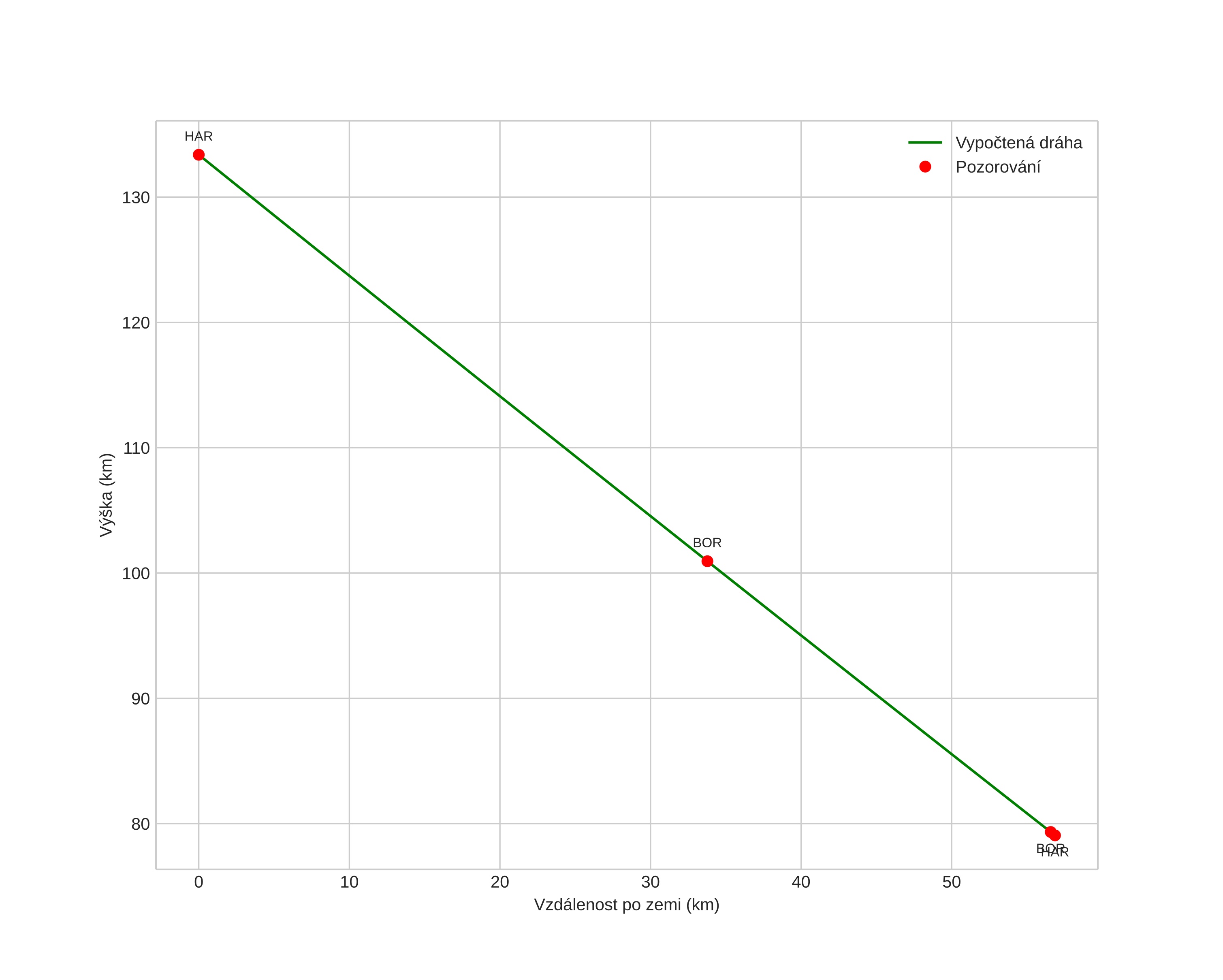
height profile
Atmosférická dráha meteoru:
Počáteční výška: 133,4 km
Konečná výška: 79,1 km
Počáteční poloha: 61,391N 12,400E
Konečná poloha: 61,017N 11,676E
Směr: 223,3°
Sklon: 43,7°
VstupnĂ­ rychlost: 78,7 km/s
Rektascenze radiantu: 03:26 (51,6°)
Deklinace radiantu: 59,0°
MeteorickĂ˝ roj: sporadickĂ˝
Elementy dráhy meteoroidu:
Vzdálenost v periheliu: 0,961 AU
Excentricita: 2,871
Sklon dráhy: 120,8°
Délka vzestupného uzlu: 139,9°
Argument perihelia: 158,4°
Střední anomálie: 29,1°
Epocha: 2018 AUG 12 22:13:18
orbit plot

NeinteraktivnĂ­ graf | InteraktivnĂ­ graf

position vs time
speed and acceleration