🇳🇴 🇬🇧 🇩🇪 🇨🇿 🇫🇮

Meteor, poloha: Løgstør 2018-08-12 22:14:50 UTC

Soubor KML  |  InteraktivnĂ­ mapa

Mapa zobrazuje dráhy meteoru. Světlejší čáry ukazují směry od pozorovacích stanic při objevení se meteoru a tmavší čáry, kde byl naposledy viděn. Modrá šipka značí viditelnou dráhu meteoru.

static map
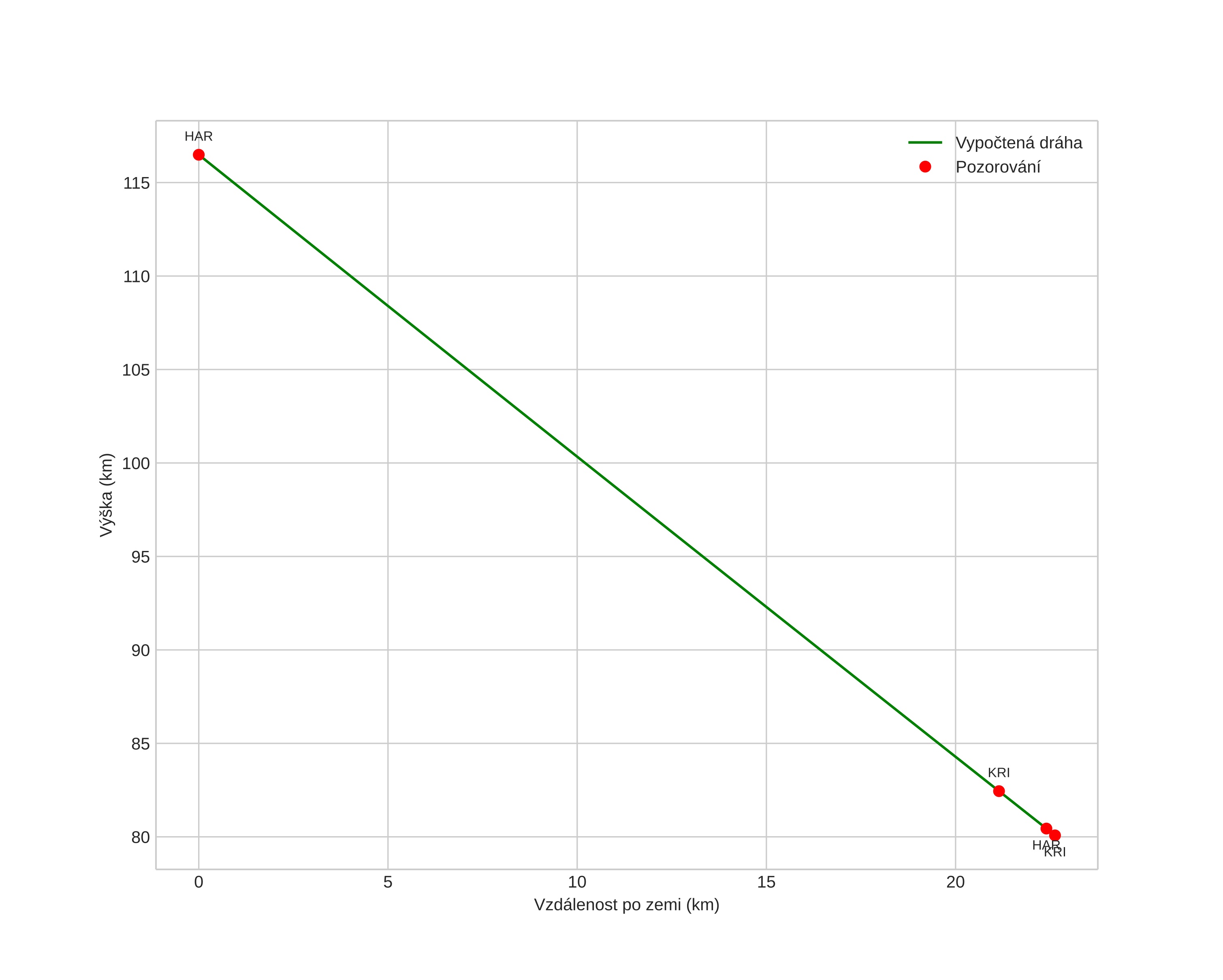
height profile
Atmosférická dráha meteoru:
Počáteční výška: 116,5 km
Konečná výška: 80,1 km
Počáteční poloha: 56,824N 9,490E
Konečná poloha: 57,002N 9,310E
Směr: 331,2°
Sklon: 58,1°
VstupnĂ­ rychlost: 82,7 km/s
Rektascenze radiantu: 21:22 (320,7°)
Deklinace radiantu: 26,9°
MeteorickĂ˝ roj: sporadickĂ˝
Elementy dráhy meteoroidu:
Vzdálenost v periheliu: 0,623 AU
Excentricita: 4,484
Sklon dráhy: 74,8°
Délka vzestupného uzlu: 139,9°
Argument perihelia: 238,1°
Střední anomálie: -228,5°
Epocha: 2018 AUG 12 22:14:50
orbit plot

NeinteraktivnĂ­ graf | InteraktivnĂ­ graf

position vs time
speed and acceleration