🇳🇴 🇬🇧 🇩🇪 🇨🇿 🇫🇮

Meteor über Torsby 2018-08-13 02:21:08 UTC

KML-Datei  |  Interaktive Karte

Die Karte zeigt die Peilungen für den Meteor. Die helleren Linien zeigen die Richtungen von den Beobachtungsorten beim Erscheinen des Meteors, und die dunkleren Linien, wo er zuletzt gesehen wurde. Der blaue Pfeil zeigt die sichtbare Bahn des Meteors.

static map
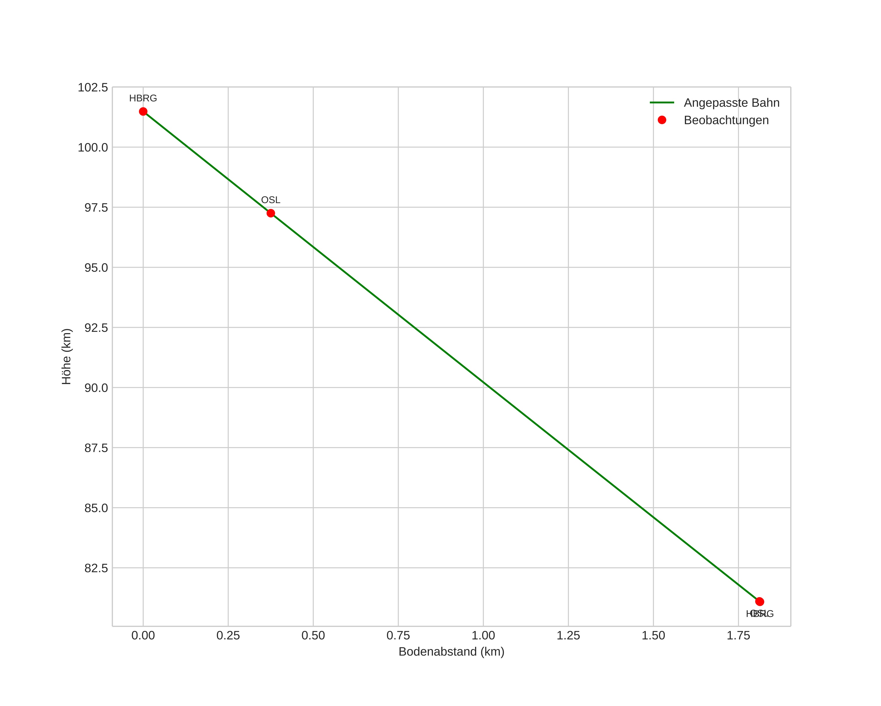
height profile
Atmosphärische Bahn des Meteors:
Anfangshöhe: 101,5 km
Endhöhe: 81,1 km
Startposition: 60,295N 12,825E
Endposition: 60,304N 12,797E
Richtung: 302,1°
Neigungswinkel: 84,9°
Eintrittsgeschwindigkeit: 36,6 km/s
Rektaszension des Radianten: 01:06 (16,7°)
Deklination des Radianten: 57,0°
Meteorstrom: sporadisch
Bahnelemente des Meteoroiden:
Periheldistanz: 0,567 AU
Exzentrizität: 0,294
Inklination: 78,6°
Länge des aufsteigenden Knotens: 140,1°
Argument des Perihels: 339,6°
Mittlere Anomalie: 215,1°
Epoche: 2018 AUG 13 02:21:08
orbit plot

Nicht-interaktives Diagramm | Interaktives Diagramm

position vs time
speed and acceleration

Voksenlia (OSL) cam3


gnomonic
Videos
• Gnomonisch
• Gnomonisch mit Koordinaten
• Original
• Original mit Koordinaten
Bilder
• Gnomonisch
• Gnomonisch mit Koordinaten
• Gnomonisch mit Beschriftungen
• Original
• Original mit Koordinaten
• Original mit Maske
Textdateien
• Erkennung
• Beobachtung
• Koordinaten
• Fehlermeldungen
• Protokoll
Helligkeit