🇳🇴 🇬🇧 🇩🇪 🇨🇿

Meteor over Byrum 2018-08-13 20:42:00 UTC

The map shows the bearings for the meteor. The lighter lines show the directions from the observation sites at the meteor's appearance, and the darker lines show where it was last seen. The blue arrow indicates the visible path of the meteor.

map

Non-interactive map | KML file

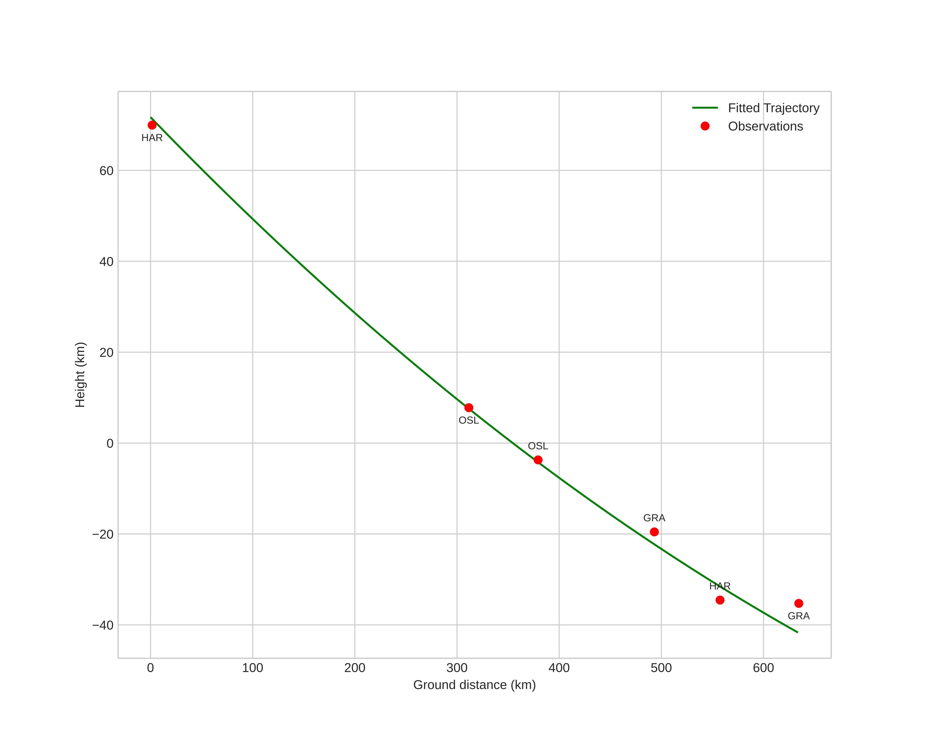
height profile
Meteor's Atmospheric Trajectory:
Start height: 89.1 km
End height: 55.0 km
Start position: 57.315N 11.915E
End position: 57.186N 11.469E
Direction: 242.1°
Inclination angle: 48.2°
Entry speed: 37.4 km/s
Radiant R.A.: 00:07 (1.9°)
Radiant Dec.: 52.3°
Meteor Shower: sporadic
Meteoroid's Orbital Elements:
Perihelion distance: 0.592 AU
Eccentricity: 0.358
Inclination: 75.8°
Long. of Asc. Node: 140.8°
Argument of Perihelion: 305.4°
Mean Anomaly: 273.5°
Epoch: 2018 AUG 13 20:42:00
orbit plot

Non-interactive plot

position vs time
speed and acceleration

Gran (GRA) cam1


gnomonic
Videos
• Gnomonic
• Gnomonic with coordinates
• Original
• Original with coordinates
Images
• Gnomonic
• Gnomonic with coordinates
• Gnomonic with labels
• Original
• Original with coordinates
• Original with mask
Text Files
• Detection
• Observation
• Coordinates
• Error Messages

Harestua (HAR) cam4


gnomonic
Videos
• Gnomonic
• Gnomonic with coordinates
• Original
• Original with coordinates
Images
• Gnomonic
• Gnomonic with coordinates
• Gnomonic with labels
• Original
• Original with coordinates
• Original with mask
Text Files
• Detection
• Observation
• Coordinates
• Error Messages

Voksenlia (OSL) cam1


gnomonic
Videos
• Gnomonic
• Gnomonic with coordinates
• Original
• Original with coordinates
Images
• Gnomonic
• Gnomonic with coordinates
• Gnomonic with labels
• Original
• Original with coordinates
• Original with mask
Text Files
• Detection
• Observation
• Coordinates
• Error Messages