🇳🇴 🇬🇧 🇩🇪 🇨🇿 🇫🇮

Meteor, poloha: Risør 2018-08-13 21:25:17 UTC

Soubor KML  |  InteraktivnĂ­ mapa

Mapa zobrazuje dráhy meteoru. Světlejší čáry ukazují směry od pozorovacích stanic při objevení se meteoru a tmavší čáry, kde byl naposledy viděn. Modrá šipka značí viditelnou dráhu meteoru.

static map
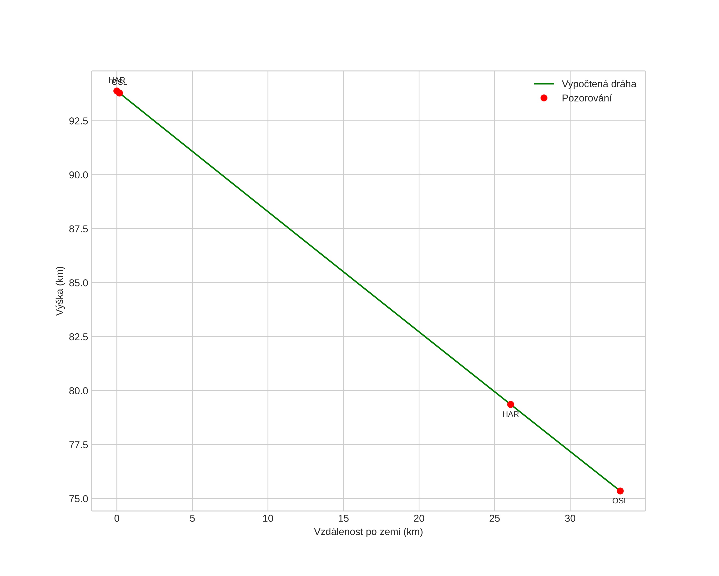
height profile
Atmosférická dráha meteoru:
Počáteční výška: 93,9 km
Konečná výška: 75,3 km
Počáteční poloha: 58,421N 9,857E
Konečná poloha: 58,169N 9,546E
Směr: 213,1°
Sklon: 29,2°
VstupnĂ­ rychlost: 58,6 km/s
Rektascenze radiantu: 04:05 (61,3°)
Deklinace radiantu: 52,5°
MeteorickĂ˝ roj: Perseidy
Elementy dráhy meteoroidu:
Vzdálenost v periheliu: 0,794 AU
Excentricita: 0,705
Sklon dráhy: 119,9°
Délka vzestupného uzlu: 140,8°
Argument perihelia: 118,4°
Střední anomálie: 9,0°
Epocha: 2018 AUG 13 21:25:17
orbit plot

NeinteraktivnĂ­ graf | InteraktivnĂ­ graf

position vs time
speed and acceleration