🇳🇴 🇬🇧 🇩🇪 🇨🇿 🇫🇮

Meteor, poloha: Sauland 2018-08-13 23:16:11 UTC

Soubor KML  |  InteraktivnĂ­ mapa

Mapa zobrazuje dráhy meteoru. Světlejší čáry ukazují směry od pozorovacích stanic při objevení se meteoru a tmavší čáry, kde byl naposledy viděn. Modrá šipka značí viditelnou dráhu meteoru.

static map
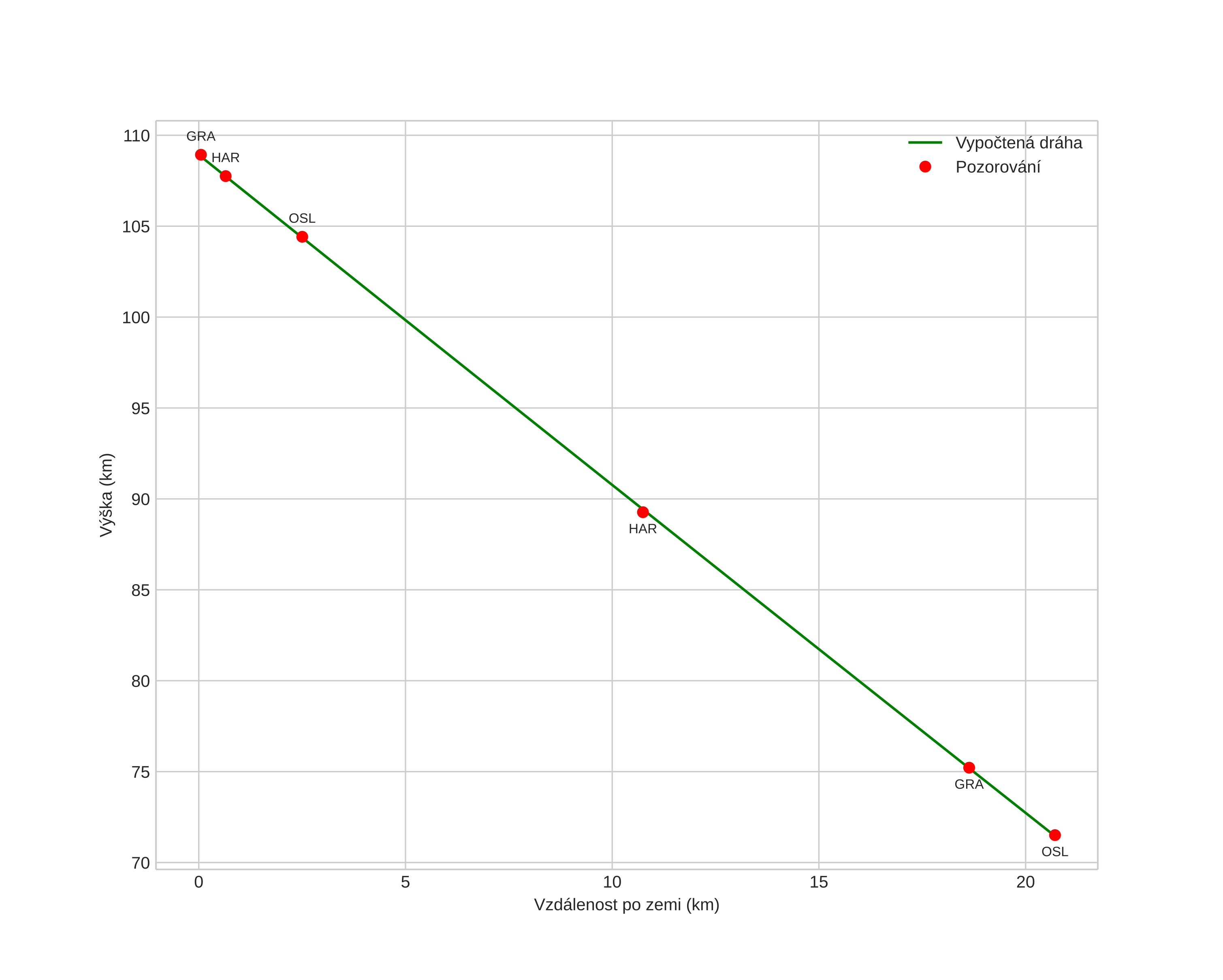
height profile
Atmosférická dráha meteoru:
Počáteční výška: 108,9 km
Konečná výška: 71,5 km
Počáteční poloha: 59,866N 9,033E
Konečná poloha: 59,731N 8,778E
Směr: 223,8°
Sklon: 61,1°
VstupnĂ­ rychlost: 65,2 km/s
Rektascenze radiantu: 01:51 (27,8°)
Deklinace radiantu: 68,7°
MeteorickĂ˝ roj: sporadickĂ˝
Elementy dráhy meteoroidu:
Vzdálenost v periheliu: 1,006 AU
Excentricita: 2,052
Sklon dráhy: 100,9°
Délka vzestupného uzlu: 140,9°
Argument perihelia: 171,8°
Střední anomálie: 5,1°
Epocha: 2018 AUG 13 23:16:11
orbit plot

NeinteraktivnĂ­ graf | InteraktivnĂ­ graf

position vs time
speed and acceleration