🇳🇴 🇬🇧 🇩🇪 🇨🇿 🇫🇮

Meteor, poloha: Hirtshals 2018-08-14 21:13:25 UTC

Soubor KML  |  InteraktivnĂ­ mapa

Mapa zobrazuje dráhy meteoru. Světlejší čáry ukazují směry od pozorovacích stanic při objevení se meteoru a tmavší čáry, kde byl naposledy viděn. Modrá šipka značí viditelnou dráhu meteoru.

static map
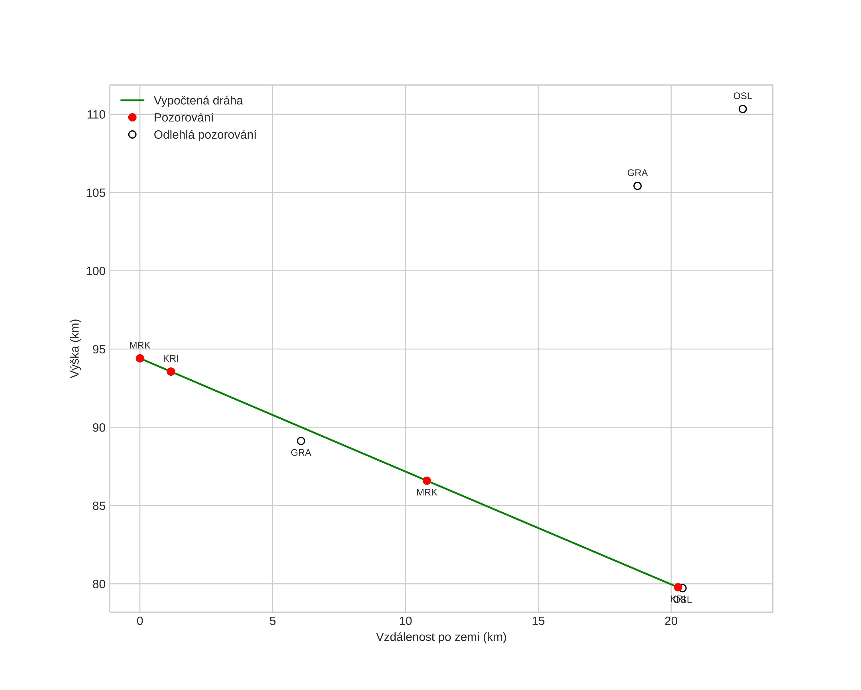
height profile
Atmosférická dráha meteoru:
Počáteční výška: 94,4 km
Konečná výška: 79,8 km
Počáteční poloha: 58,132N 9,611E
Konečná poloha: 57,976N 9,434E
Směr: 211,1°
Sklon: 35,8°
VstupnĂ­ rychlost: 50,4 km/s
Rektascenze radiantu: 03:42 (55,6°)
Deklinace radiantu: 59,2°
MeteorickĂ˝ roj: Perseidy
Elementy dráhy meteoroidu:
Vzdálenost v periheliu: 0,812 AU
Excentricita: 0,403
Sklon dráhy: 103,8°
Délka vzestupného uzlu: 141,8°
Argument perihelia: 108,0°
Střední anomálie: 32,9°
Epocha: 2018 AUG 14 21:13:25
orbit plot

NeinteraktivnĂ­ graf | InteraktivnĂ­ graf

position vs time
speed and acceleration