🇳🇴 🇬🇧 🇩🇪 🇨🇿 🇫🇮

Meteor, poloha: Hopen 2018-08-20 22:24:53 UTC

Soubor KML  |  InteraktivnĂ­ mapa

Mapa zobrazuje dráhy meteoru. Světlejší čáry ukazují směry od pozorovacích stanic při objevení se meteoru a tmavší čáry, kde byl naposledy viděn. Modrá šipka značí viditelnou dráhu meteoru.

static map
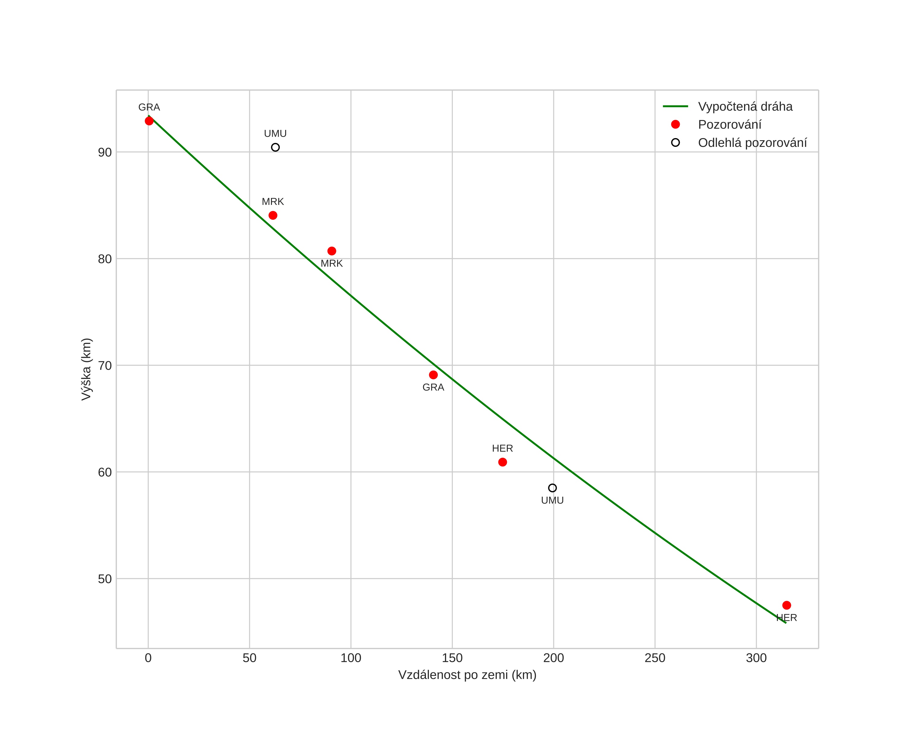
height profile
Atmosférická dráha meteoru:
Počáteční výška: 93,4 km
Konečná výška: 45,8 km
Počáteční poloha: 64,930N 6,840E
Konečná poloha: 67,760N 7,029E
Směr: 1,4°
Sklon: 8,6°
VstupnĂ­ rychlost: 17,4 km/s
Rektascenze radiantu: 20:38 (309,5°)
Deklinace radiantu: -29,2°
MeteorickĂ˝ roj: sporadickĂ˝
Elementy dráhy meteoroidu:
Vzdálenost v periheliu: 0,858 AU
Excentricita: 0,620
Sklon dráhy: 4,0°
Délka vzestupného uzlu: 327,6°
Argument perihelia: 52,8°
Střední anomálie: 349,1°
Epocha: 2018 AUG 20 22:24:53
orbit plot

NeinteraktivnĂ­ graf | InteraktivnĂ­ graf

position vs time
speed and acceleration