🇳🇴 🇬🇧 🇩🇪 🇨🇿 🇫🇮

Meteor, poloha: Skoger 2018-08-21 20:01:06 UTC

Soubor KML  |  InteraktivnĂ­ mapa

Mapa zobrazuje dráhy meteoru. Světlejší čáry ukazují směry od pozorovacích stanic při objevení se meteoru a tmavší čáry, kde byl naposledy viděn. Modrá šipka značí viditelnou dráhu meteoru.

static map
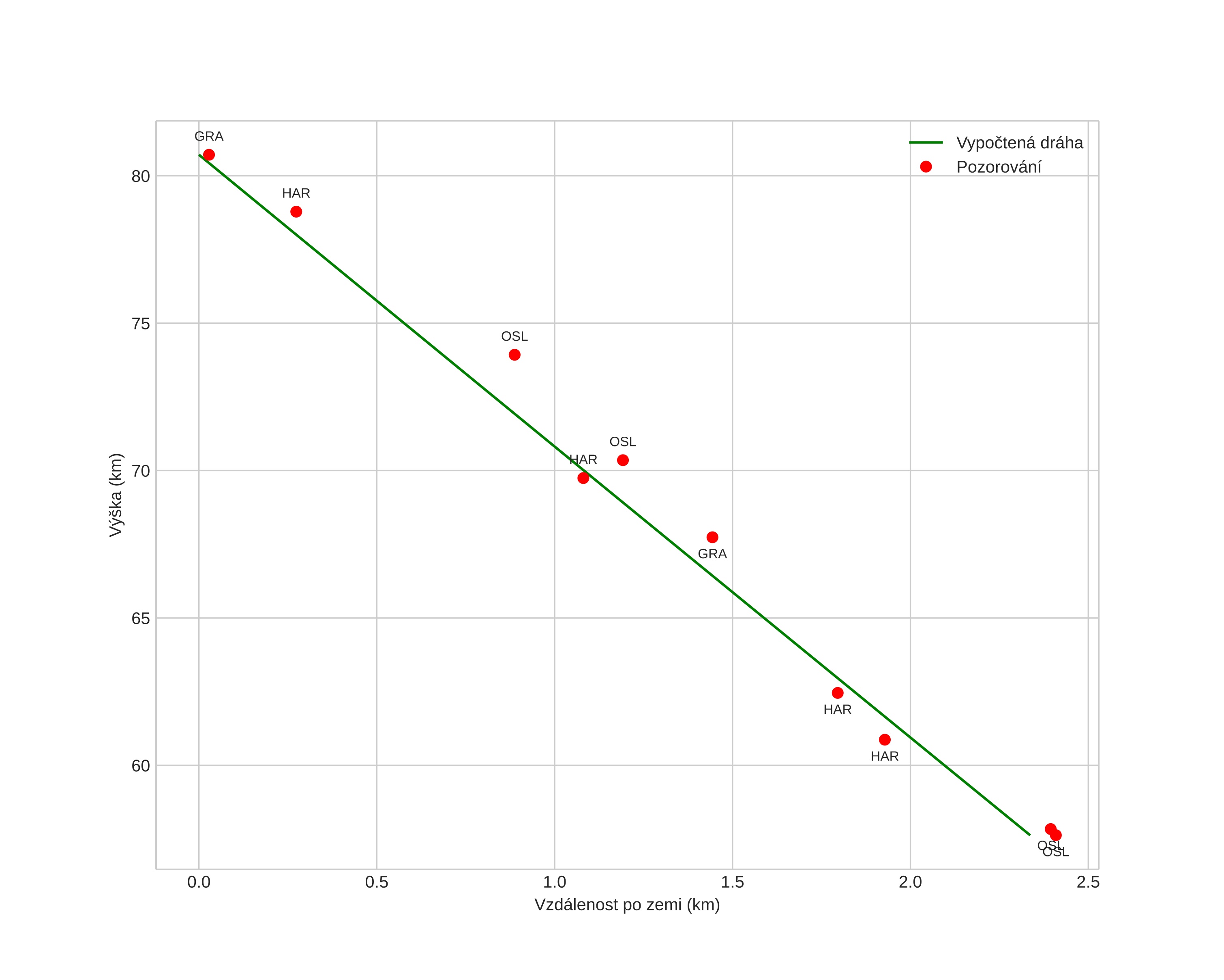
height profile
Atmosférická dráha meteoru:
Počáteční výška: 80,7 km
Konečná výška: 57,6 km
Počáteční poloha: 59,681N 10,312E
Konečná poloha: 59,660N 10,309E
Směr: 184,8°
Sklon: 84,2°
VstupnĂ­ rychlost: 17,5 km/s
Rektascenze radiantu: 18:39 (279,8°)
Deklinace radiantu: 66,0°
MeteorickĂ˝ roj: sporadickĂ˝
Elementy dráhy meteoroidu:
Vzdálenost v periheliu: 1,007 AU
Excentricita: 0,173
Sklon dráhy: 25,0°
Délka vzestupného uzlu: 148,5°
Argument perihelia: 194,6°
Střední anomálie: 349,8°
Epocha: 2018 AUG 21 20:01:06
orbit plot

NeinteraktivnĂ­ graf | InteraktivnĂ­ graf

position vs time
speed and acceleration

Harestua (HAR) cam1


gnomonic
Videa
• Gnomonická
• Původní
• Původní se souřadnicemi
Obrázky
• Gnomonická
• Gnomonická se souřadnicemi
• Gnomonická s popisky
• Původní
• Původní se souřadnicemi
• Původní s maskou
Textové soubory
• Detekce
• Pozorování
• Souřadnice
• Chybová hlášení
• Protokol
Jasnost