🇳🇴 🇬🇧 🇩🇪 🇨🇿 🇫🇮

Meteor, poloha: Hovden 2018-08-25 19:47:49 UTC

Soubor KML  |  InteraktivnĂ­ mapa

Mapa zobrazuje dráhy meteoru. Světlejší čáry ukazují směry od pozorovacích stanic při objevení se meteoru a tmavší čáry, kde byl naposledy viděn. Modrá šipka značí viditelnou dráhu meteoru.

static map
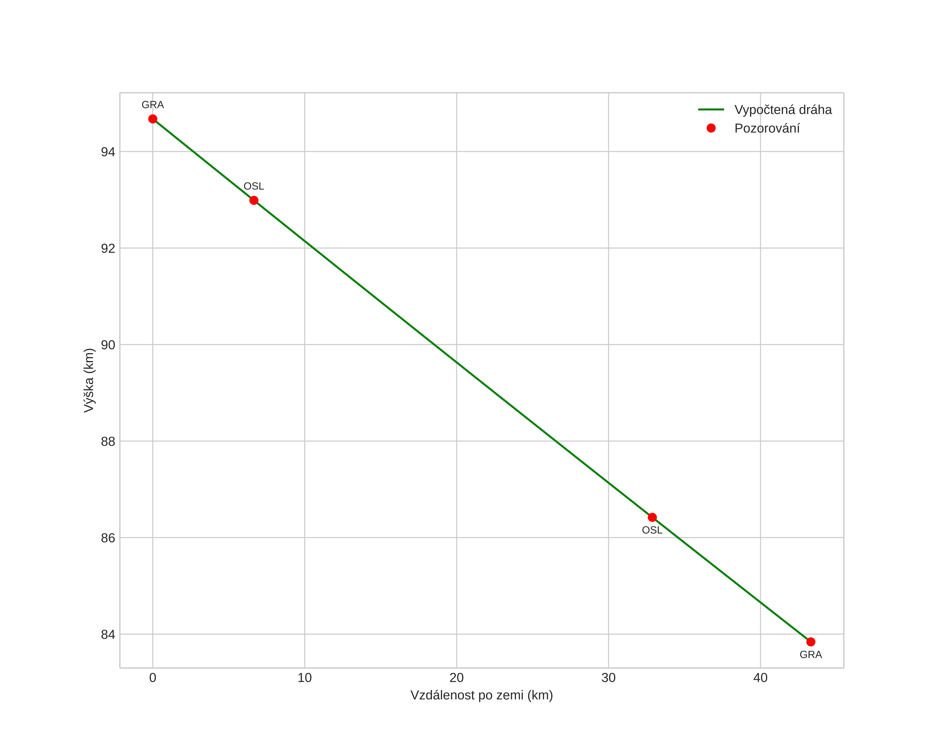
height profile
Atmosférická dráha meteoru:
Počáteční výška: 94,7 km
Konečná výška: 83,8 km
Počáteční poloha: 59,311N 7,730E
Konečná poloha: 59,568N 7,153E
Směr: 311,4°
Sklon: 14,1°
VstupnĂ­ rychlost: 24,3 km/s
Rektascenze radiantu: 21:48 (327,1°)
Deklinace radiantu: -11,8°
MeteorickĂ˝ roj: sporadickĂ˝
Elementy dráhy meteoroidu:
Vzdálenost v periheliu: 0,654 AU
Excentricita: 0,809
Sklon dráhy: 0,9°
Délka vzestupného uzlu: 152,4°
Argument perihelia: 257,8°
Střední anomálie: 353,3°
Epocha: 2018 AUG 25 19:47:49
orbit plot

NeinteraktivnĂ­ graf | InteraktivnĂ­ graf

position vs time
speed and acceleration