🇳🇴 🇬🇧 🇩🇪 🇨🇿 🇫🇮

Meteor, poloha: Torsby 2018-08-28 19:22:19 UTC

Soubor KML  |  InteraktivnĂ­ mapa

Mapa zobrazuje dráhy meteoru. Světlejší čáry ukazují směry od pozorovacích stanic při objevení se meteoru a tmavší čáry, kde byl naposledy viděn. Modrá šipka značí viditelnou dráhu meteoru.

static map
height profile
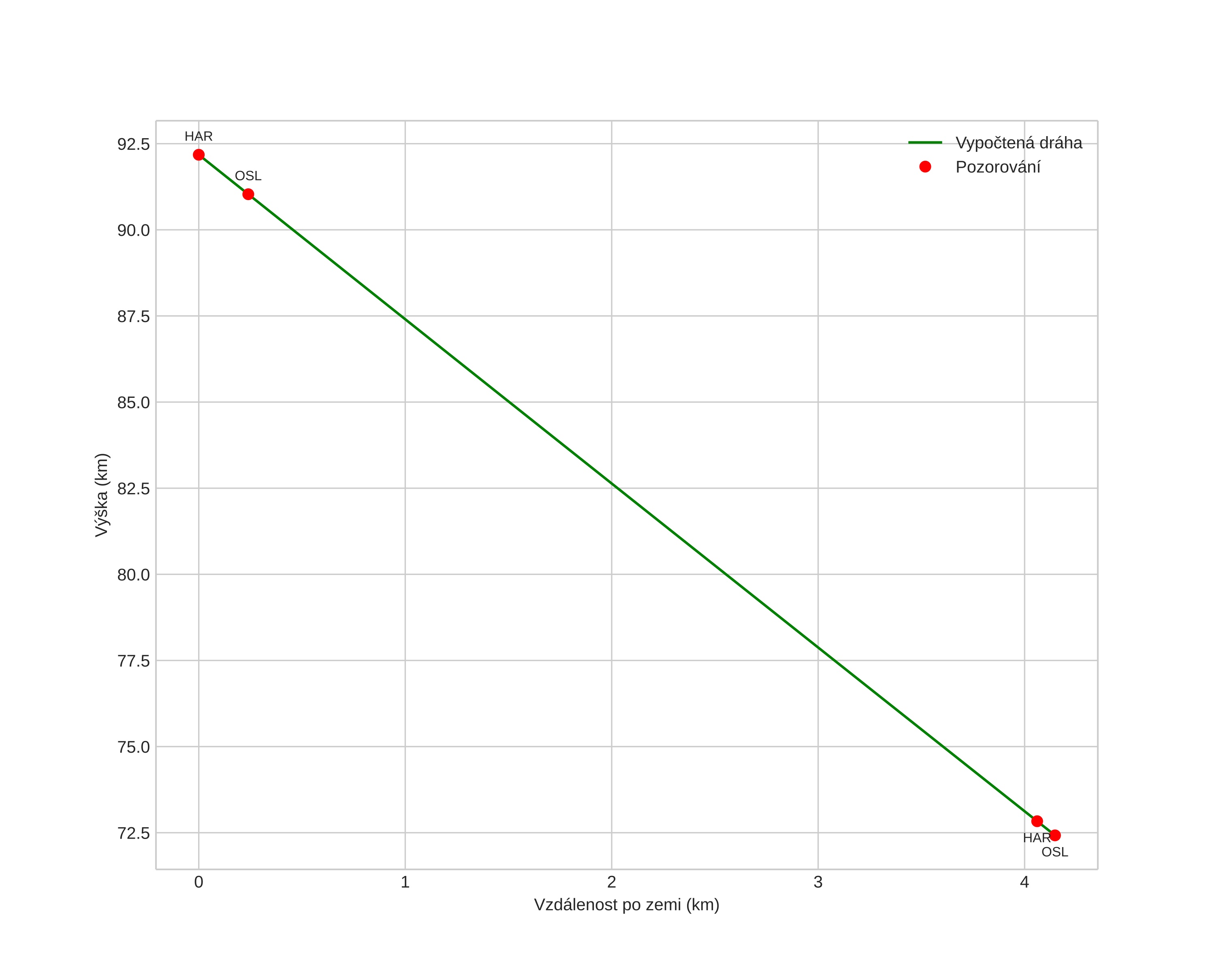
Atmosférická dráha meteoru:
Počáteční výška: 92,2 km
Konečná výška: 72,4 km
Počáteční poloha: 60,459N 12,917E
Konečná poloha: 60,440N 12,982E
Směr: 120,4°
Sklon: 78,2°
VstupnĂ­ rychlost: 23,8 km/s
Rektascenze radiantu: 16:53 (253,4°)
Deklinace radiantu: 64,2°
MeteorickĂ˝ roj: sporadickĂ˝
Elementy dráhy meteoroidu:
Vzdálenost v periheliu: 1,007 AU
Excentricita: 0,602
Sklon dráhy: 34,1°
Délka vzestupného uzlu: 155,2°
Argument perihelia: 172,7°
Střední anomálie: 1,4°
Epocha: 2018 AUG 28 19:22:19
orbit plot

NeinteraktivnĂ­ graf | InteraktivnĂ­ graf

position vs time
speed and acceleration