🇳🇴 🇬🇧 🇩🇪 🇨🇿 🇫🇮

Meteor, poloha: Kristinehamn 2018-09-03 21:40:52 UTC

Soubor KML  |  InteraktivnĂ­ mapa

Mapa zobrazuje dráhy meteoru. Světlejší čáry ukazují směry od pozorovacích stanic při objevení se meteoru a tmavší čáry, kde byl naposledy viděn. Modrá šipka značí viditelnou dráhu meteoru.

static map
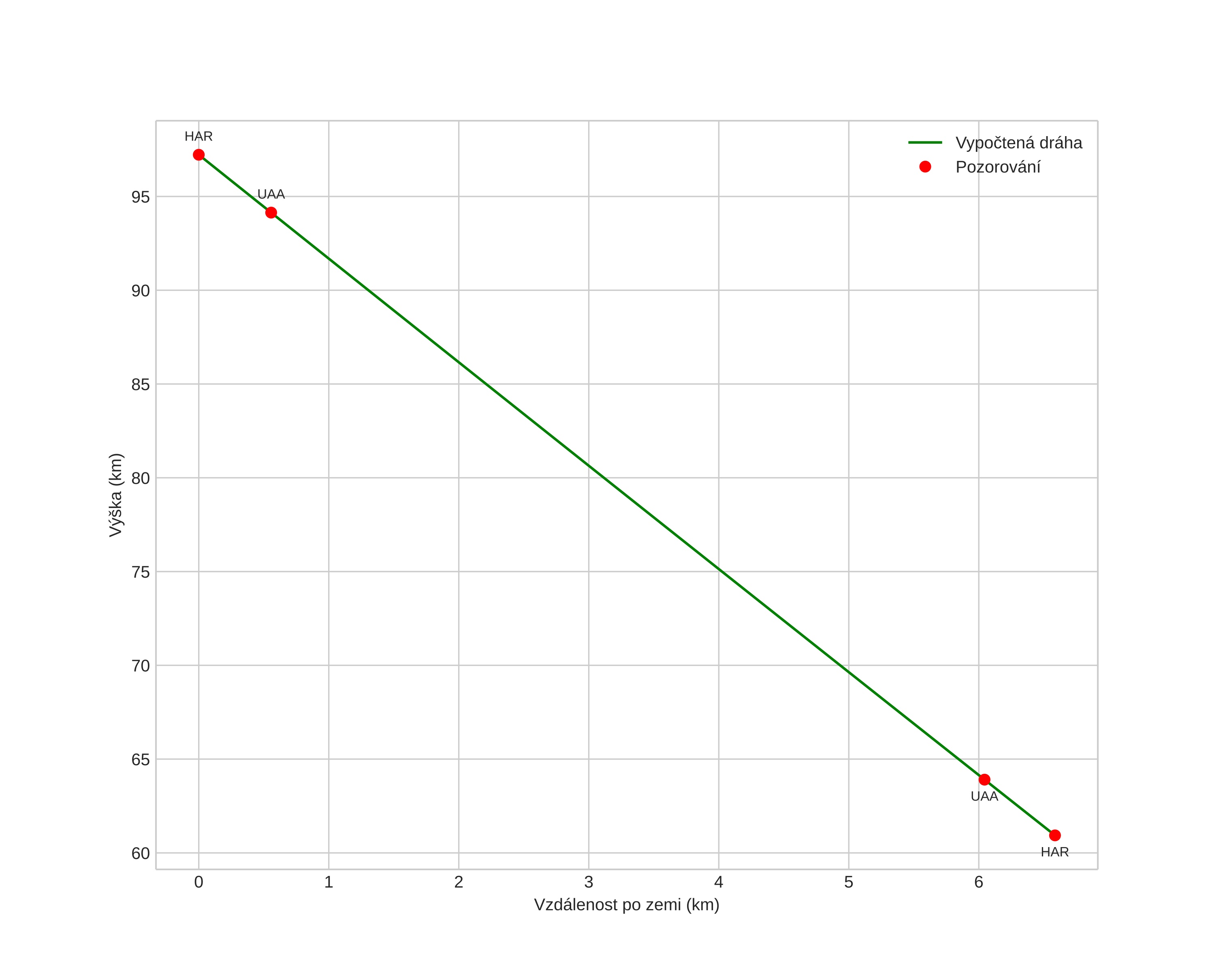
height profile
Atmosférická dráha meteoru:
Počáteční výška: 97,2 km
Konečná výška: 60,9 km
Počáteční poloha: 59,508N 13,985E
Konečná poloha: 59,449N 13,986E
Směr: 179,7°
Sklon: 79,7°
VstupnĂ­ rychlost: 38,2 km/s
Rektascenze radiantu: 21:23 (320,8°)
Deklinace radiantu: 69,8°
MeteorickĂ˝ roj: sporadickĂ˝
Elementy dráhy meteoroidu:
Vzdálenost v periheliu: 0,972 AU
Excentricita: 0,909
Sklon dráhy: 59,6°
Délka vzestupného uzlu: 161,1°
Argument perihelia: 202,6°
Střední anomálie: 359,5°
Epocha: 2018 SEP 03 21:40:52
orbit plot

NeinteraktivnĂ­ graf | InteraktivnĂ­ graf

position vs time
speed and acceleration