🇳🇴 🇬🇧 🇩🇪 🇨🇿 🇫🇮

Meteor, poloha: Fedje 2018-09-04 02:43:02 UTC

Soubor KML  |  InteraktivnĂ­ mapa

Mapa zobrazuje dráhy meteoru. Světlejší čáry ukazují směry od pozorovacích stanic při objevení se meteoru a tmavší čáry, kde byl naposledy viděn. Modrá šipka značí viditelnou dráhu meteoru.

static map
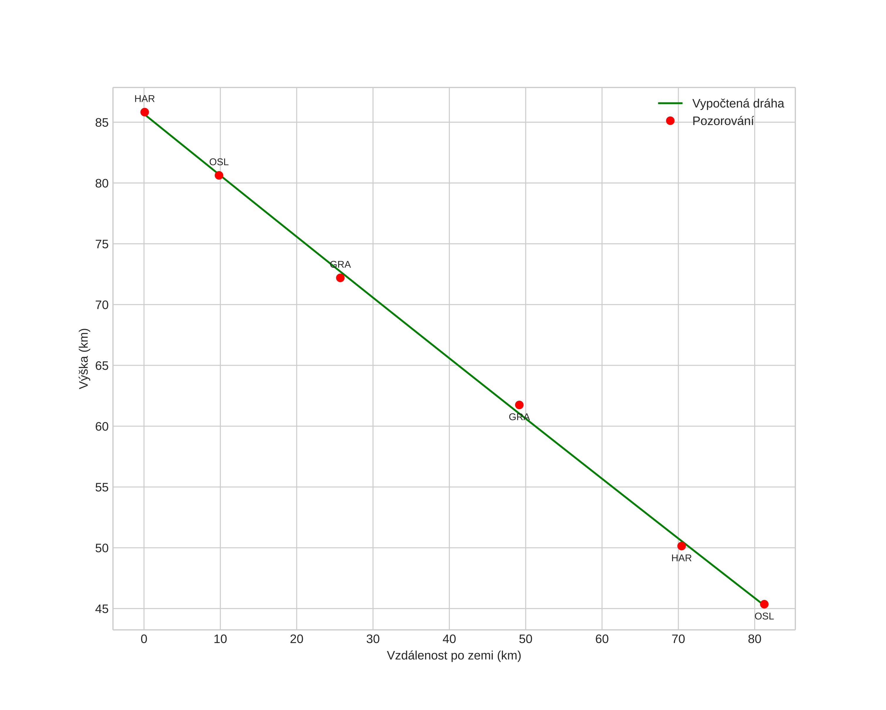
height profile
Atmosférická dráha meteoru:
Počáteční výška: 85,7 km
Konečná výška: 45,3 km
Počáteční poloha: 59,922N 2,246E
Konečná poloha: 60,416N 3,327E
Směr: 47,0°
Sklon: 26,4°
VstupnĂ­ rychlost: 26,9 km/s
Rektascenze radiantu: 22:53 (343,3°)
Deklinace radiantu: 1,3°
MeteorickĂ˝ roj: sporadickĂ˝
Elementy dráhy meteoroidu:
Vzdálenost v periheliu: 0,503 AU
Excentricita: 0,798
Sklon dráhy: 6,8°
Délka vzestupného uzlu: 161,3°
Argument perihelia: 277,4°
Střední anomálie: 348,7°
Epocha: 2018 SEP 04 02:43:02
orbit plot

NeinteraktivnĂ­ graf | InteraktivnĂ­ graf

position vs time
speed and acceleration