🇳🇴 🇬🇧 🇩🇪 🇨🇿 🇫🇮

Meteor, poloha: Ørje 2018-09-10 20:41:41 UTC

Soubor KML  |  Interaktivní mapa

Mapa zobrazuje dráhy meteoru. Světlejší čáry ukazují směry od pozorovacích stanic při objevení se meteoru a tmavší čáry, kde byl naposledy viděn. Modrá šipka značí viditelnou dráhu meteoru.

static map
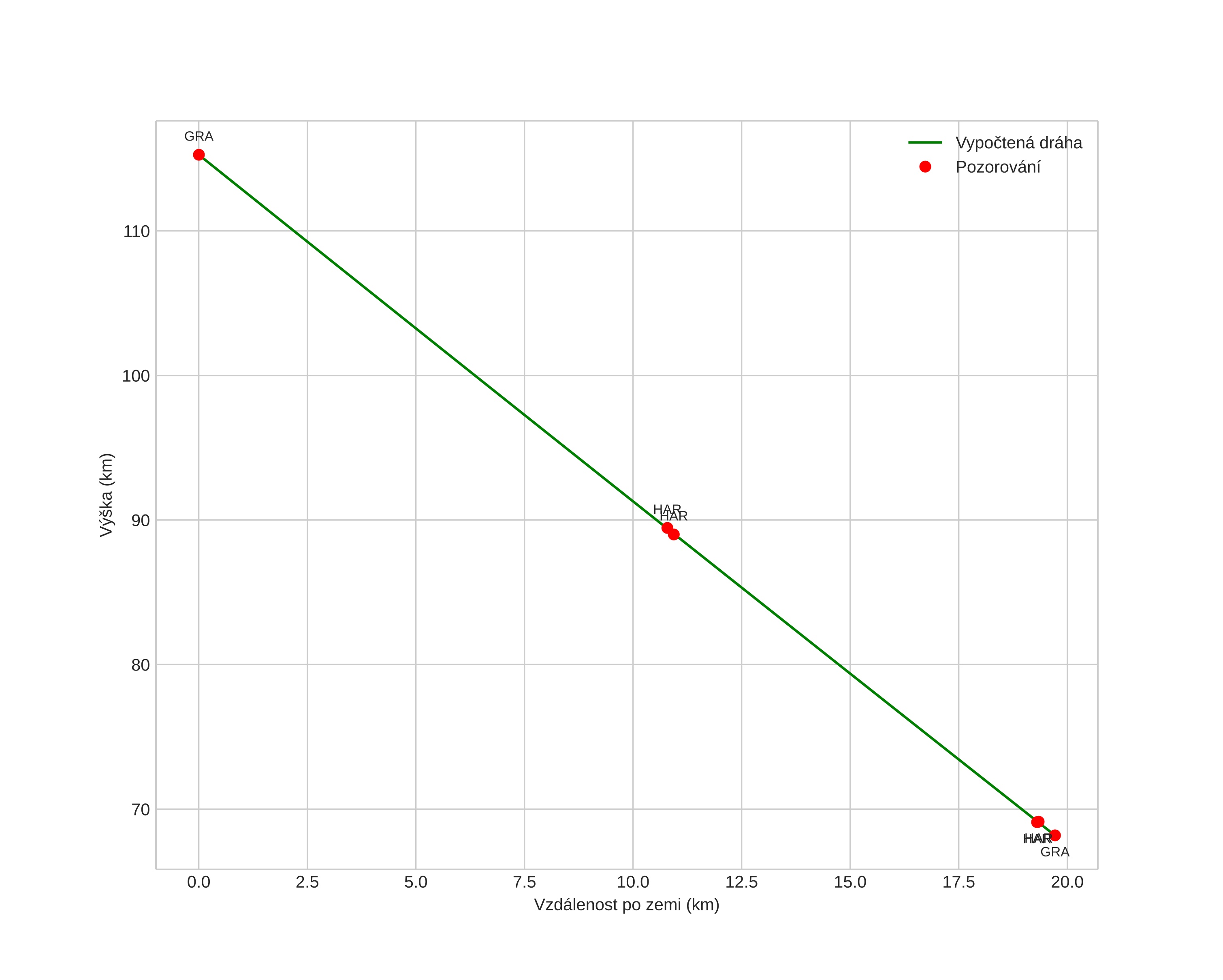
height profile
Atmosférická dráha meteoru:
Počáteční výška: 115,3 km
Konečná výška: 68,2 km
Počáteční poloha: 59,777N 11,386E
Konečná poloha: 59,671N 11,668E
Směr: 126,6°
Sklon: 67,3°
Vstupní rychlost: 25,9 km/s
Rektascenze radiantu: 17:15 (258,8°)
Deklinace radiantu: 65,2°
Meteorický roj: sporadický
Elementy dráhy meteoroidu:
Vzdálenost v periheliu: 1,005 AU
Excentricita: 0,673
Sklon dráhy: 37,7°
Délka vzestupného uzlu: 167,8°
Argument perihelia: 175,0°
Střední anomálie: 0,7°
Epocha: 2018 SEP 10 20:41:41
orbit plot

Neinteraktivní graf | Interaktivní graf

position vs time
speed and acceleration