🇳🇴 🇬🇧 🇩🇪 🇨🇿 🇫🇮

Meteor, poloha: Burfjord 2018-09-18 22:43:41 UTC

Soubor KML  |  InteraktivnĂ­ mapa

Mapa zobrazuje dráhy meteoru. Světlejší čáry ukazují směry od pozorovacích stanic při objevení se meteoru a tmavší čáry, kde byl naposledy viděn. Modrá šipka značí viditelnou dráhu meteoru.

static map
height profile
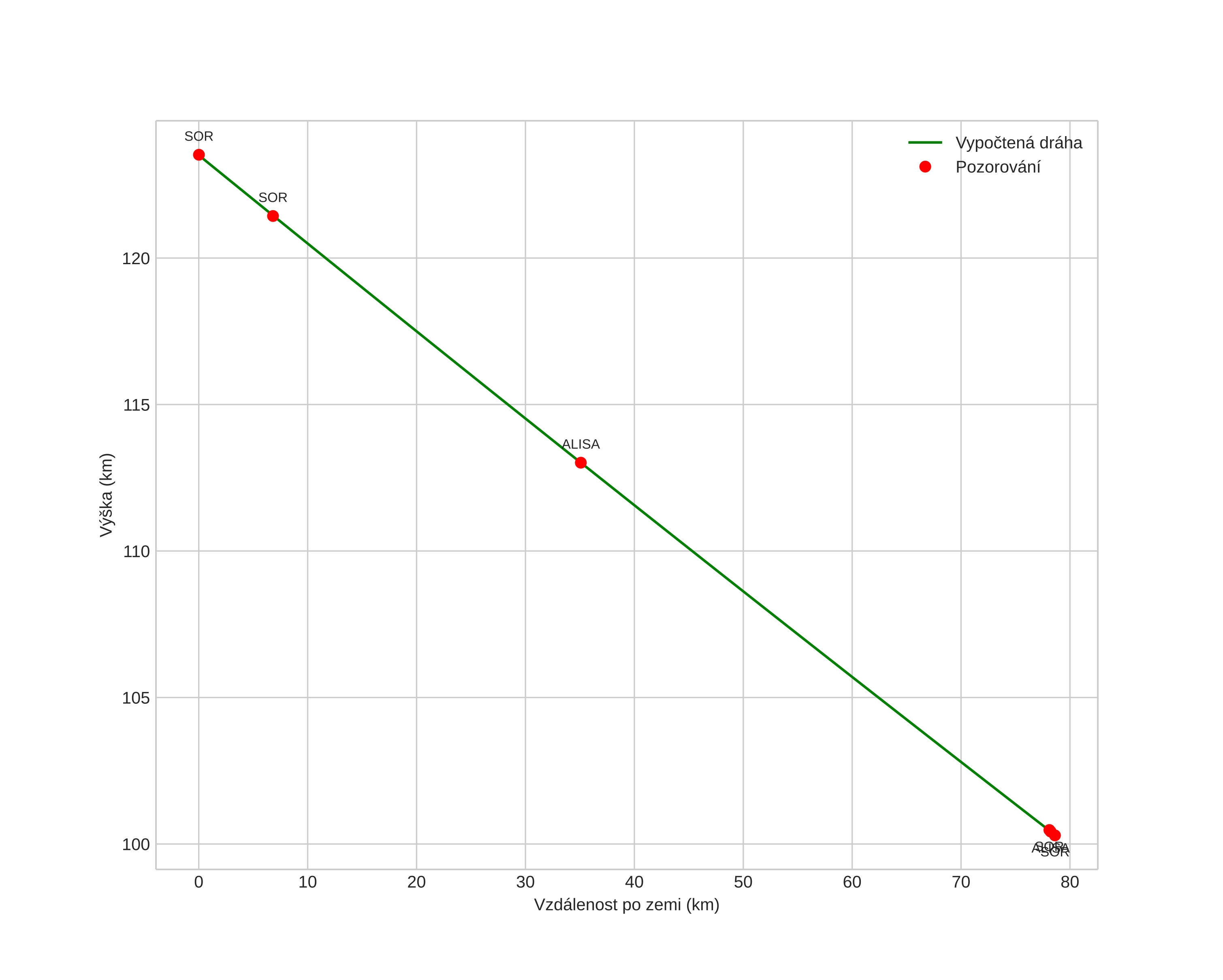
Atmosférická dráha meteoru:
Počáteční výška: 123,5 km
Konečná výška: 100,3 km
Počáteční poloha: 69,528N 24,010E
Konečná poloha: 69,605N 21,996E
Směr: 277,2°
Sklon: 16,4°
VstupnĂ­ rychlost: 80,0 km/s
Rektascenze radiantu: 05:19 (80,0°)
Deklinace radiantu: 12,5°
MeteorickĂ˝ roj: sporadickĂ˝
Elementy dráhy meteoroidu:
Vzdálenost v periheliu: 0,985 AU
Excentricita: 1,879
Sklon dráhy: 163,1°
Délka vzestupného uzlu: 355,7°
Argument perihelia: 14,2°
Střední anomálie: -7,0°
Epocha: 2018 SEP 18 22:43:41
orbit plot

NeinteraktivnĂ­ graf | InteraktivnĂ­ graf

position vs time
speed and acceleration