🇳🇴 🇬🇧 🇩🇪 🇨🇿 🇫🇮

Meteor, poloha: Setermoen 2018-09-24 21:01:15 UTC

Soubor KML  |  InteraktivnĂ­ mapa

Mapa zobrazuje dráhy meteoru. Světlejší čáry ukazují směry od pozorovacích stanic při objevení se meteoru a tmavší čáry, kde byl naposledy viděn. Modrá šipka značí viditelnou dráhu meteoru.

static map
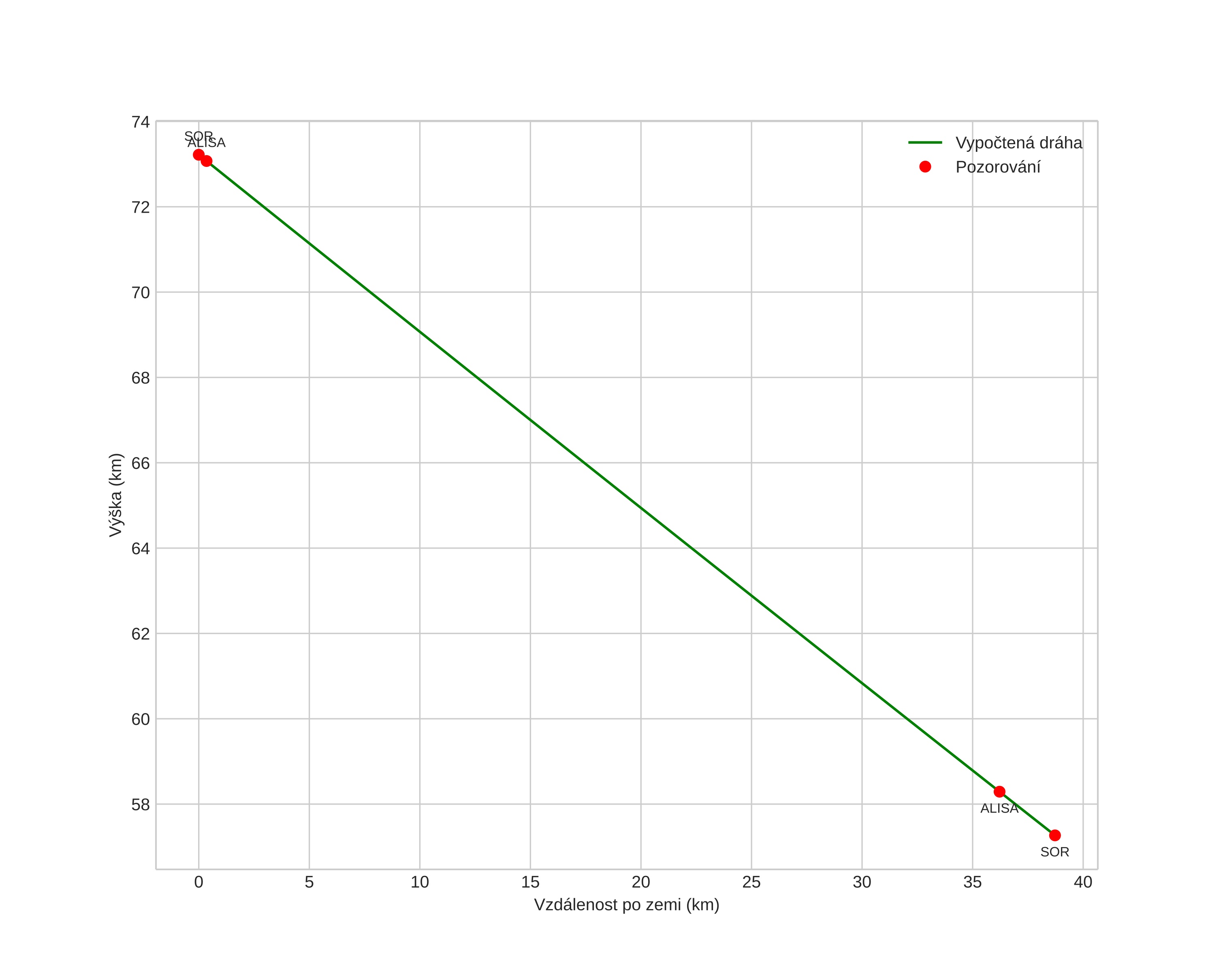
height profile
Atmosférická dráha meteoru:
Počáteční výška: 73,2 km
Konečná výška: 57,3 km
Počáteční poloha: 68,149N 18,824E
Konečná poloha: 68,495N 18,936E
Směr: 6,8°
Sklon: 22,3°
VstupnĂ­ rychlost: 15,2 km/s
Rektascenze radiantu: 21:59 (329,9°)
Deklinace radiantu: -13,9°
MeteorickĂ˝ roj: sporadickĂ˝
Elementy dráhy meteoroidu:
Vzdálenost v periheliu: 0,917 AU
Excentricita: 0,562
Sklon dráhy: 0,4°
Délka vzestupného uzlu: 1,5°
Argument perihelia: 40,3°
Střední anomálie: 350,1°
Epocha: 2018 SEP 24 21:01:15
orbit plot

NeinteraktivnĂ­ graf | InteraktivnĂ­ graf

position vs time
speed and acceleration