🇳🇴 🇬🇧 🇩🇪 🇨🇿 🇫🇮

Meteor, poloha: Ă…rnes 2018-09-26 19:04:17 UTC

Soubor KML  |  InteraktivnĂ­ mapa

Mapa zobrazuje dráhy meteoru. Světlejší čáry ukazují směry od pozorovacích stanic při objevení se meteoru a tmavší čáry, kde byl naposledy viděn. Modrá šipka značí viditelnou dráhu meteoru.

static map
height profile
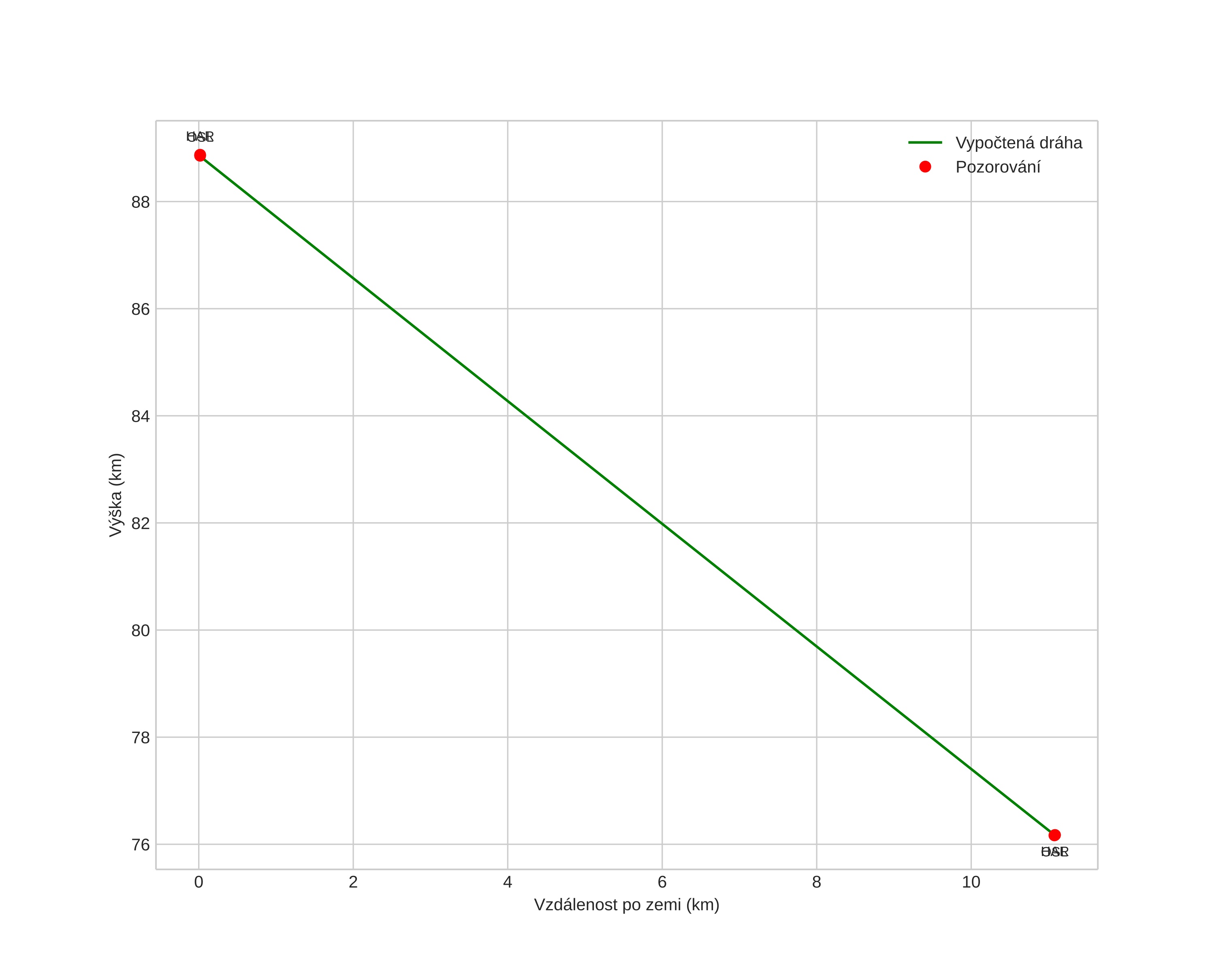
Atmosférická dráha meteoru:
Počáteční výška: 88,9 km
Konečná výška: 76,2 km
Počáteční poloha: 60,151N 11,530E
Konečná poloha: 60,244N 11,459E
Směr: 339,3°
Sklon: 48,9°
VstupnĂ­ rychlost: 19,6 km/s
Rektascenze radiantu: 21:08 (317,2°)
Deklinace radiantu: 16,2°
MeteorickĂ˝ roj: sporadickĂ˝
Elementy dráhy meteoroidu:
Vzdálenost v periheliu: 0,919 AU
Excentricita: 0,885
Sklon dráhy: 12,3°
Délka vzestupného uzlu: 183,4°
Argument perihelia: 214,6°
Střední anomálie: 359,0°
Epocha: 2018 SEP 26 19:04:17
orbit plot

NeinteraktivnĂ­ graf | InteraktivnĂ­ graf

position vs time
speed and acceleration