🇳🇴 🇬🇧 🇩🇪 🇨🇿 🇫🇮

Meteor, poloha: Hyllestad 2018-09-27 02:49:09 UTC

Soubor KML  |  InteraktivnĂ­ mapa

Mapa zobrazuje dráhy meteoru. Světlejší čáry ukazují směry od pozorovacích stanic při objevení se meteoru a tmavší čáry, kde byl naposledy viděn. Modrá šipka značí viditelnou dráhu meteoru.

static map
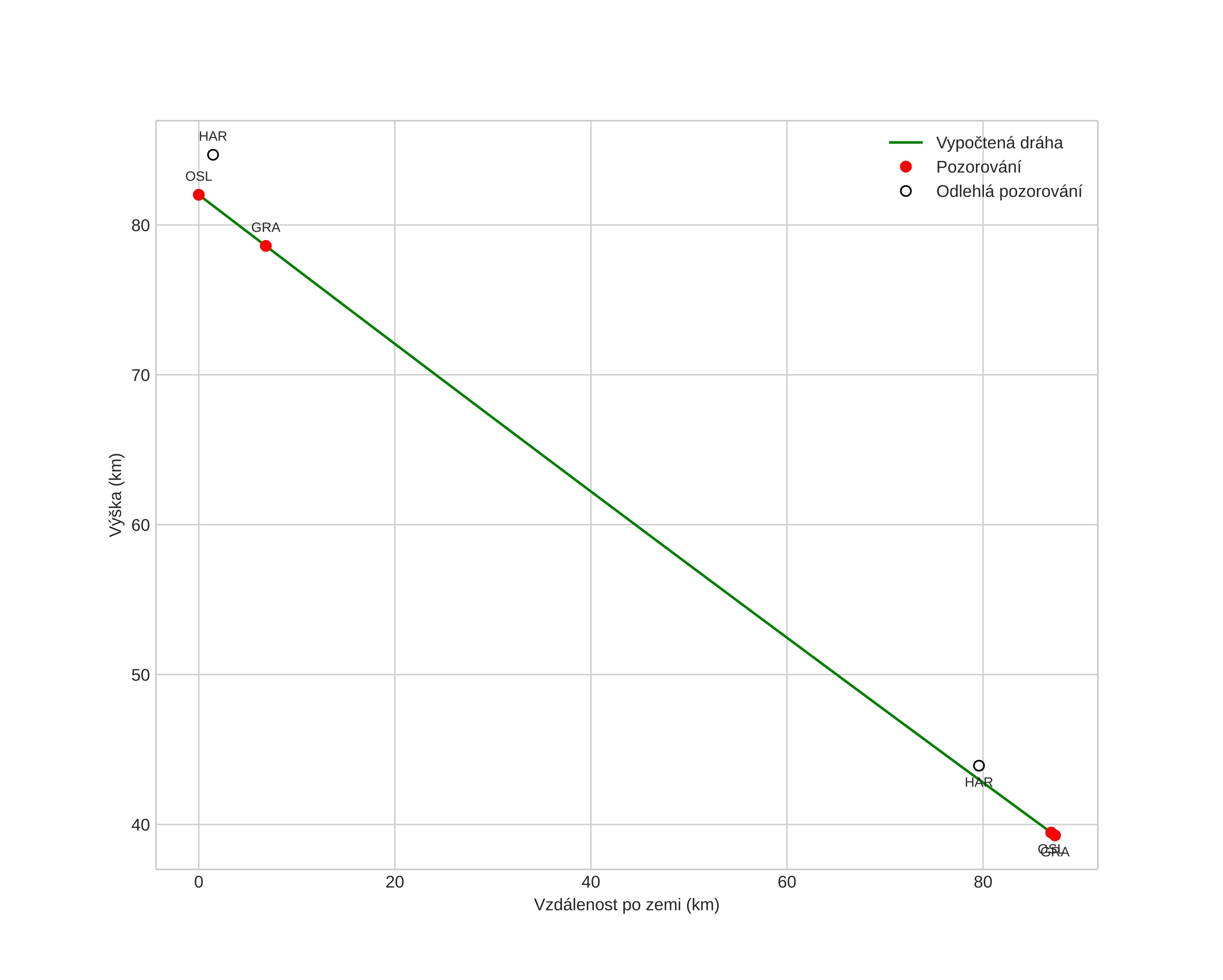
height profile
Atmosférická dráha meteoru:
Počáteční výška: 82,0 km
Konečná výška: 39,3 km
Počáteční poloha: 60,585N 4,437E
Konečná poloha: 61,268N 5,234E
Směr: 29,2°
Sklon: 26,1°
VstupnĂ­ rychlost: 32,8 km/s
Rektascenze radiantu: 01:41 (25,4°)
Deklinace radiantu: -2,4°
MeteorickĂ˝ roj: sporadickĂ˝
Elementy dráhy meteoroidu:
Vzdálenost v periheliu: 0,266 AU
Excentricita: 0,855
Sklon dráhy: 18,0°
Délka vzestupného uzlu: 3,7°
Argument perihelia: 126,5°
Střední anomálie: 343,5°
Epocha: 2018 SEP 27 02:49:09
orbit plot

NeinteraktivnĂ­ graf | InteraktivnĂ­ graf

position vs time
speed and acceleration