🇳🇴 🇬🇧 🇩🇪 🇨🇿 🇫🇮

Meteor, poloha: Hatteng 2018-09-28 18:38:49 UTC

Soubor KML  |  InteraktivnĂ­ mapa

Mapa zobrazuje dráhy meteoru. Světlejší čáry ukazují směry od pozorovacích stanic při objevení se meteoru a tmavší čáry, kde byl naposledy viděn. Modrá šipka značí viditelnou dráhu meteoru.

static map
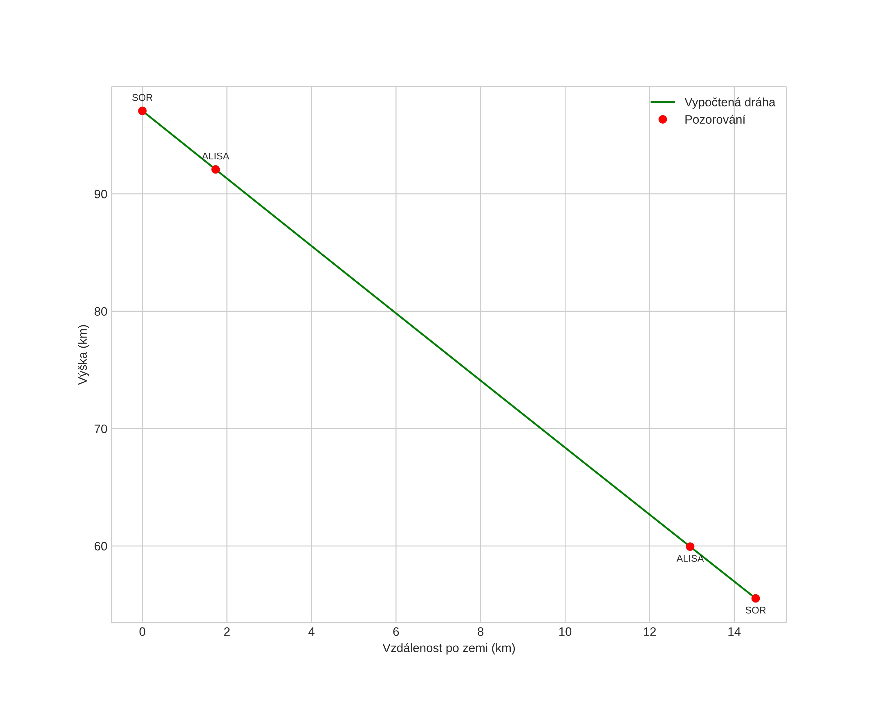
height profile
Atmosférická dráha meteoru:
Počáteční výška: 97,1 km
Konečná výška: 55,5 km
Počáteční poloha: 69,302N 20,238E
Konečná poloha: 69,288N 19,872E
Směr: 263,7°
Sklon: 70,8°
VstupnĂ­ rychlost: 34,6 km/s
Rektascenze radiantu: 23:39 (355,0°)
Deklinace radiantu: 63,3°
MeteorickĂ˝ roj: sporadickĂ˝
Elementy dráhy meteoroidu:
Vzdálenost v periheliu: 0,782 AU
Excentricita: 0,703
Sklon dráhy: 53,0°
Délka vzestupného uzlu: 185,3°
Argument perihelia: 242,2°
Střední anomálie: 350,8°
Epocha: 2018 SEP 28 18:38:49
orbit plot

NeinteraktivnĂ­ graf | InteraktivnĂ­ graf

position vs time
speed and acceleration