🇳🇴 🇬🇧 🇩🇪 🇨🇿 🇫🇮

Meteor, poloha: Helgoland 2018-09-28 19:22:40 UTC

Soubor KML  |  InteraktivnĂ­ mapa

Mapa zobrazuje dráhy meteoru. Světlejší čáry ukazují směry od pozorovacích stanic při objevení se meteoru a tmavší čáry, kde byl naposledy viděn. Modrá šipka značí viditelnou dráhu meteoru.

static map
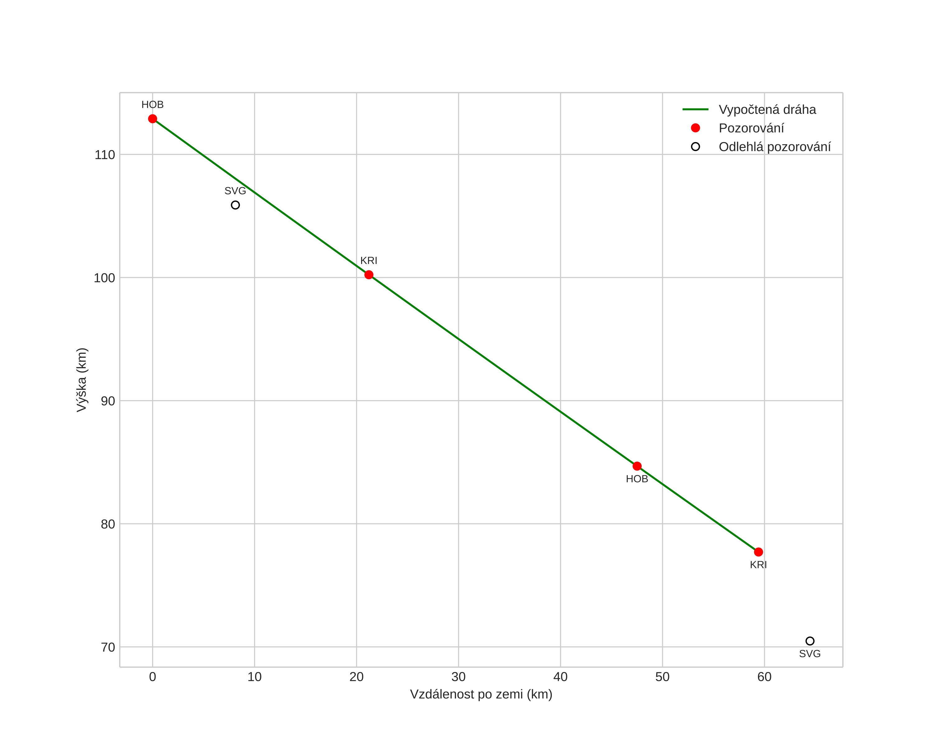
height profile
Atmosférická dráha meteoru:
Počáteční výška: 112,9 km
Konečná výška: 77,7 km
Počáteční poloha: 54,776N 8,449E
Konečná poloha: 54,417N 7,766E
Směr: 228,0°
Sklon: 30,6°
VstupnĂ­ rychlost: 62,3 km/s
Rektascenze radiantu: 03:28 (52,1°)
Deklinace radiantu: 48,1°
MeteorickĂ˝ roj: sporadickĂ˝
Elementy dráhy meteoroidu:
Vzdálenost v periheliu: 0,572 AU
Excentricita: 1,129
Sklon dráhy: 118,0°
Délka vzestupného uzlu: 185,4°
Argument perihelia: 259,0°
Střední anomálie: -3,8°
Epocha: 2018 SEP 28 19:22:40
orbit plot

NeinteraktivnĂ­ graf | InteraktivnĂ­ graf

position vs time
speed and acceleration