🇳🇴 🇬🇧 🇩🇪 🇨🇿 🇫🇮

Meteor, poloha: Järna 2018-09-29 20:07:37 UTC

Soubor KML  |  InteraktivnĂ­ mapa

Mapa zobrazuje dráhy meteoru. Světlejší čáry ukazují směry od pozorovacích stanic při objevení se meteoru a tmavší čáry, kde byl naposledy viděn. Modrá šipka značí viditelnou dráhu meteoru.

static map
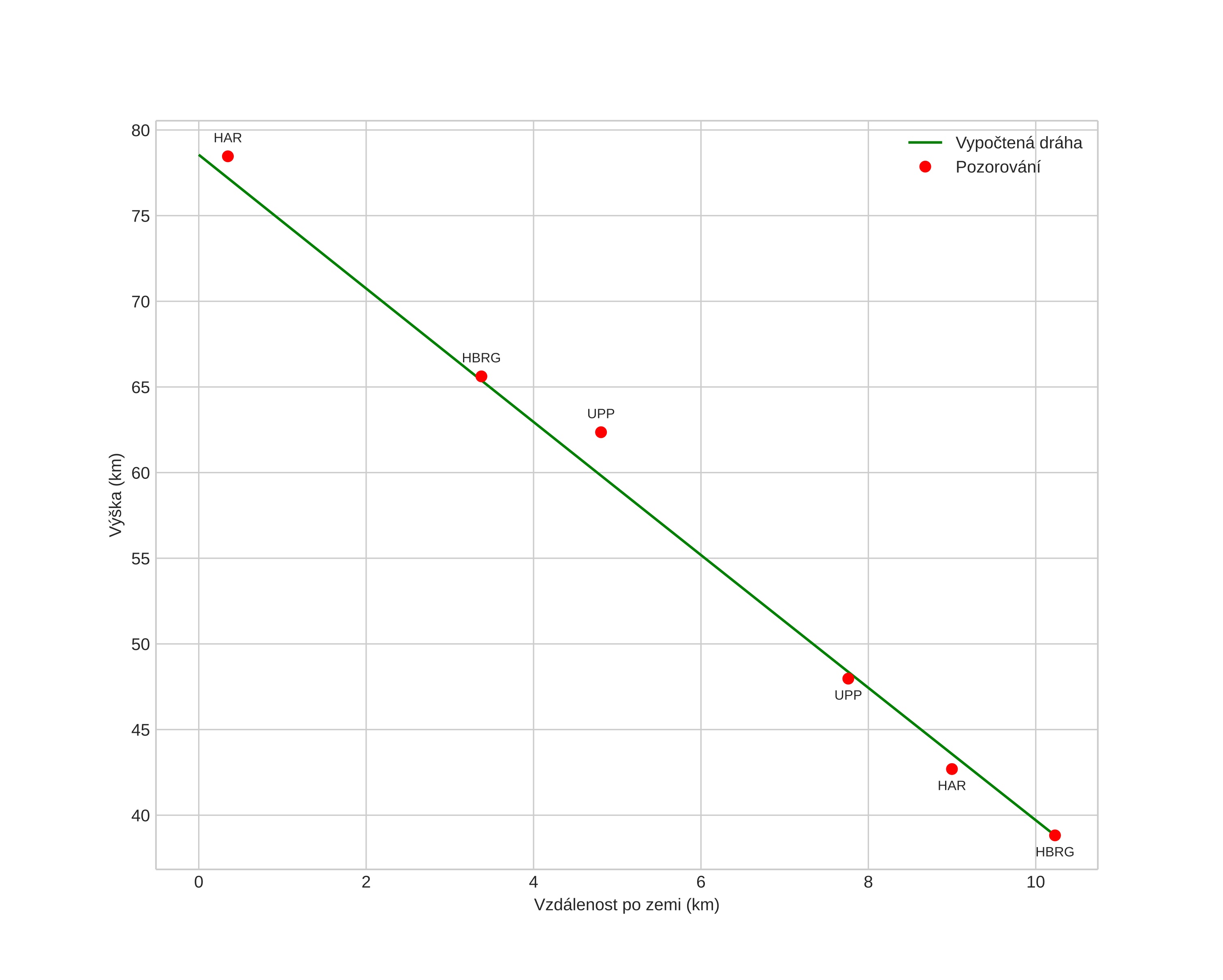
height profile
Atmosférická dráha meteoru:
Počáteční výška: 78,6 km
Konečná výška: 38,8 km
Počáteční poloha: 60,548N 14,580E
Konečná poloha: 60,458N 14,618E
Směr: 168,2°
Sklon: 75,6°
VstupnĂ­ rychlost: 20,1 km/s
Rektascenze radiantu: 20:38 (309,5°)
Deklinace radiantu: 75,2°
MeteorickĂ˝ roj: sporadickĂ˝
Elementy dráhy meteoroidu:
Vzdálenost v periheliu: 0,948 AU
Excentricita: 0,158
Sklon dráhy: 31,3°
Délka vzestupného uzlu: 186,4°
Argument perihelia: 232,5°
Střední anomálie: 320,9°
Epocha: 2018 SEP 29 20:07:37
orbit plot

NeinteraktivnĂ­ graf | InteraktivnĂ­ graf

position vs time
speed and acceleration