🇳🇴 🇬🇧 🇩🇪 🇨🇿 🇫🇮

Meteor, poloha: Wittenburg 2018-09-30 21:40:47 UTC

Soubor KML  |  InteraktivnĂ­ mapa

Mapa zobrazuje dráhy meteoru. Světlejší čáry ukazují směry od pozorovacích stanic při objevení se meteoru a tmavší čáry, kde byl naposledy viděn. Modrá šipka značí viditelnou dráhu meteoru.

static map
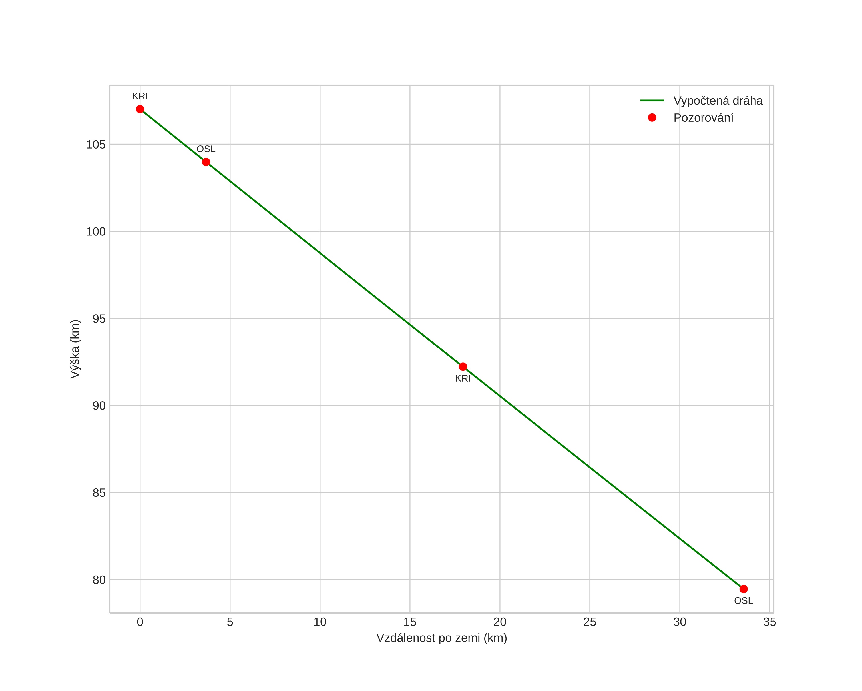
height profile
Atmosférická dráha meteoru:
Počáteční výška: 107,0 km
Konečná výška: 79,5 km
Počáteční poloha: 53,797N 11,056E
Konečná poloha: 53,495N 11,060E
Směr: 179,6°
Sklon: 39,3°
VstupnĂ­ rychlost: 47,2 km/s
Rektascenze radiantu: 11:12 (168,1°)
Deklinace radiantu: 74,9°
MeteorickĂ˝ roj: sporadickĂ˝
Elementy dráhy meteoroidu:
Vzdálenost v periheliu: 0,958 AU
Excentricita: 0,940
Sklon dráhy: 77,9°
Délka vzestupného uzlu: 187,4°
Argument perihelia: 155,5°
Střední anomálie: 0,3°
Epocha: 2018 SEP 30 21:40:47
orbit plot

NeinteraktivnĂ­ graf | InteraktivnĂ­ graf

position vs time
speed and acceleration