🇳🇴 🇬🇧 🇩🇪 🇨🇿 🇫🇮

Meteor, poloha: Prestfoss 2018-10-03 03:38:29 UTC

Soubor KML  |  InteraktivnĂ­ mapa

Mapa zobrazuje dráhy meteoru. Světlejší čáry ukazují směry od pozorovacích stanic při objevení se meteoru a tmavší čáry, kde byl naposledy viděn. Modrá šipka značí viditelnou dráhu meteoru.

static map
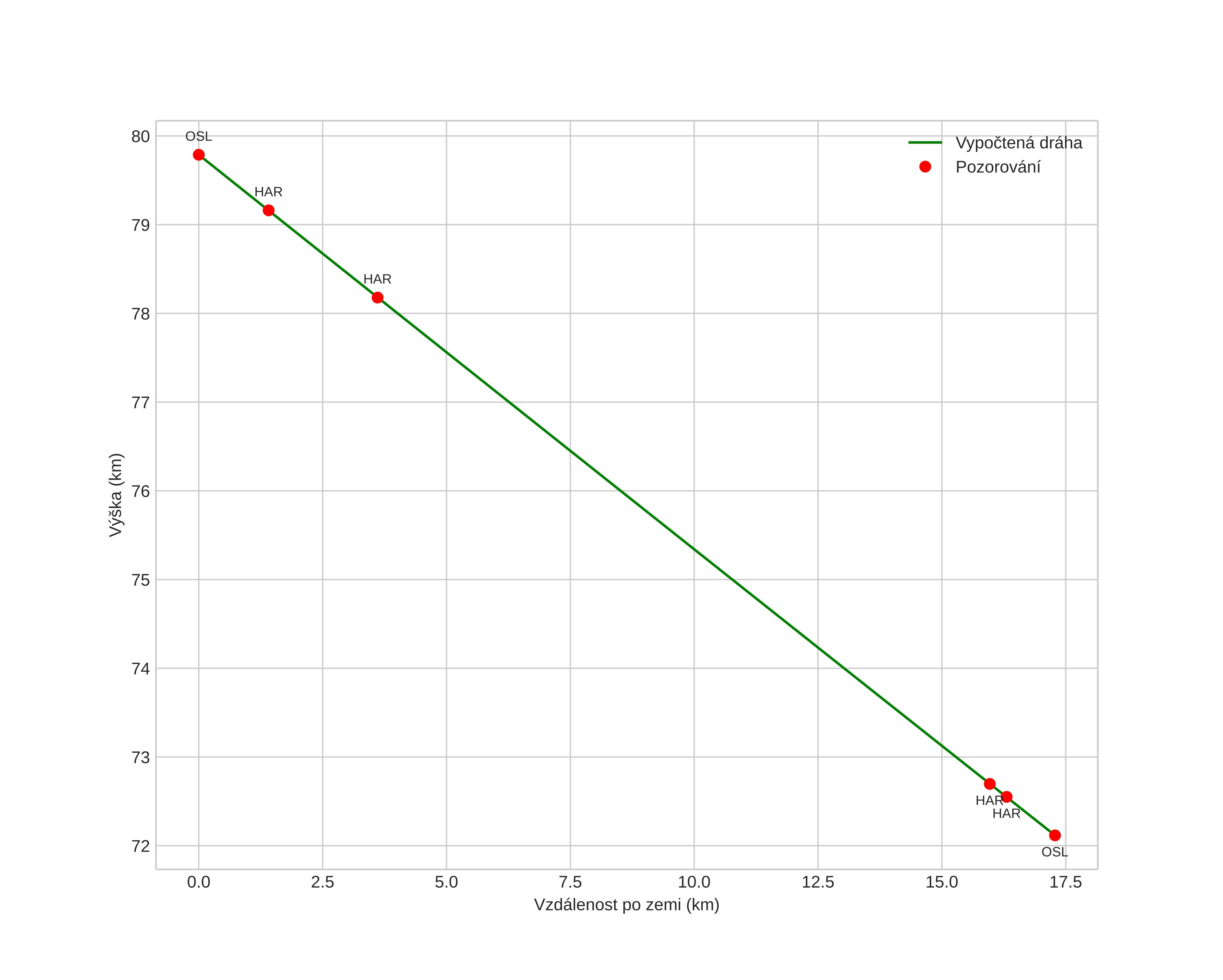
height profile
Atmosférická dráha meteoru:
Počáteční výška: 79,8 km
Konečná výška: 72,1 km
Počáteční poloha: 60,066N 9,295E
Konečná poloha: 60,088N 9,604E
Směr: 81,6°
Sklon: 24,0°
VstupnĂ­ rychlost: 19,8 km/s
Rektascenze radiantu: 00:04 (1,1°)
Deklinace radiantu: 10,4°
MeteorickĂ˝ roj: sporadickĂ˝
Elementy dráhy meteoroidu:
Vzdálenost v periheliu: 0,684 AU
Excentricita: 0,601
Sklon dráhy: 4,9°
Délka vzestupného uzlu: 189,6°
Argument perihelia: 261,0°
Střední anomálie: 338,7°
Epocha: 2018 OCT 03 03:38:29
orbit plot

NeinteraktivnĂ­ graf | InteraktivnĂ­ graf

position vs time
speed and acceleration