🇳🇴 🇬🇧 🇩🇪 🇨🇿 🇫🇮

Meteor, poloha: Gratangen 2018-10-05 19:39:49 UTC

Soubor KML  |  InteraktivnĂ­ mapa

Mapa zobrazuje dráhy meteoru. Světlejší čáry ukazují směry od pozorovacích stanic při objevení se meteoru a tmavší čáry, kde byl naposledy viděn. Modrá šipka značí viditelnou dráhu meteoru.

static map
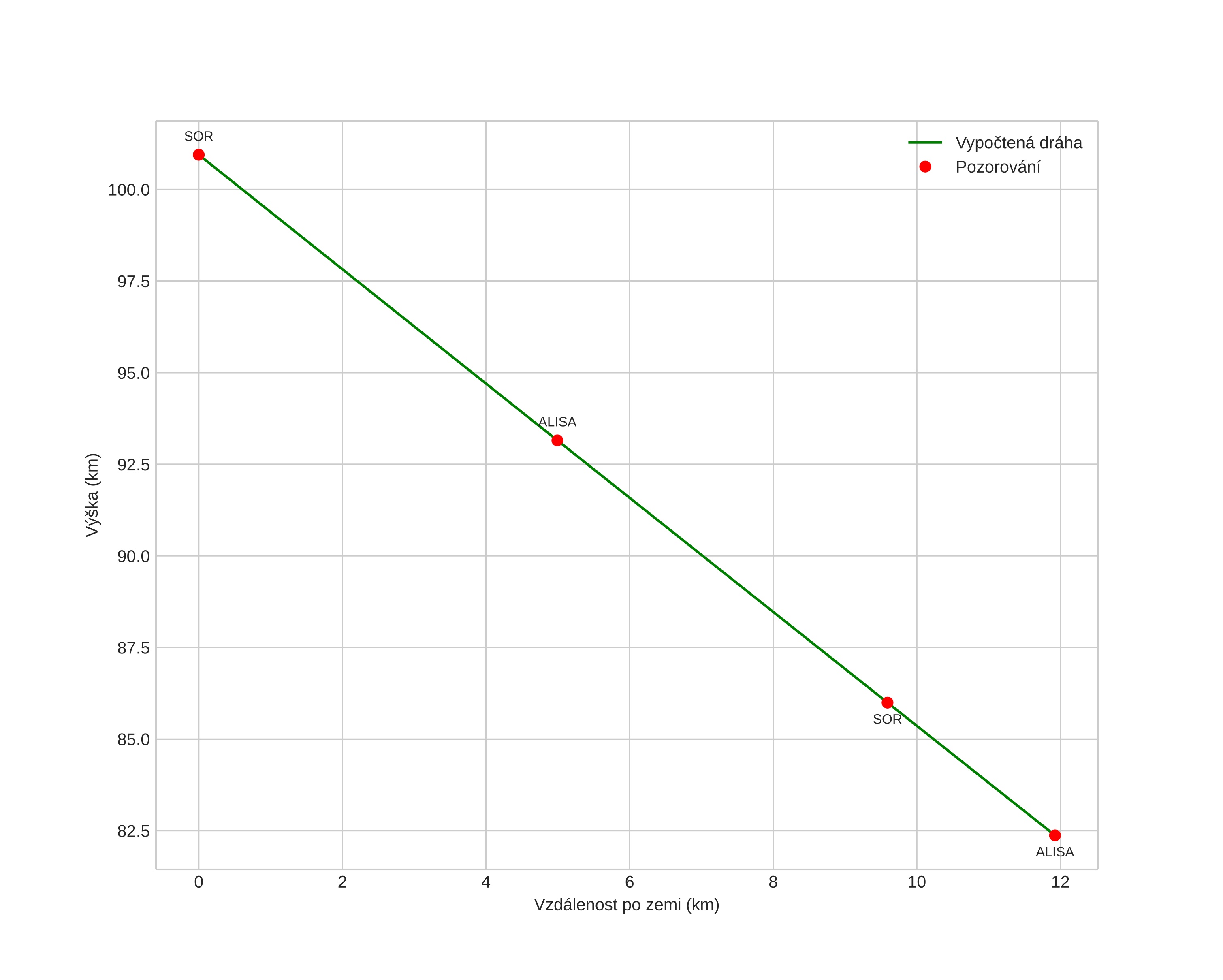
height profile
Atmosférická dráha meteoru:
Počáteční výška: 100,9 km
Konečná výška: 82,4 km
Počáteční poloha: 68,201N 18,079E
Konečná poloha: 68,095N 18,113E
Směr: 173,2°
Sklon: 57,2°
VstupnĂ­ rychlost: 43,8 km/s
Rektascenze radiantu: 11:06 (166,6°)
Deklinace radiantu: 78,1°
MeteorickĂ˝ roj: sporadickĂ˝
Elementy dráhy meteoroidu:
Vzdálenost v periheliu: 0,988 AU
Excentricita: 0,699
Sklon dráhy: 74,9°
Délka vzestupného uzlu: 192,3°
Argument perihelia: 166,0°
Střední anomálie: 1,8°
Epocha: 2018 OCT 05 19:39:49
orbit plot

NeinteraktivnĂ­ graf | InteraktivnĂ­ graf

position vs time
speed and acceleration