🇳🇴 🇬🇧 🇩🇪 🇨🇿 🇫🇮

Meteor Finnsnesin yllä 2018-10-09 00:53:26 UTC

KML-tiedosto  |  Interaktiivinen kartta

Kartta näyttää meteorin suuntahavainnot. Vaaleammat viivat näyttävät suunnat havaintoasemilta meteorin ilmestyessä, ja tummemmat viivat näyttävät, missä se viimeksi nähtiin. Sininen nuoli näyttää meteorin näkyvän lennon.

static map
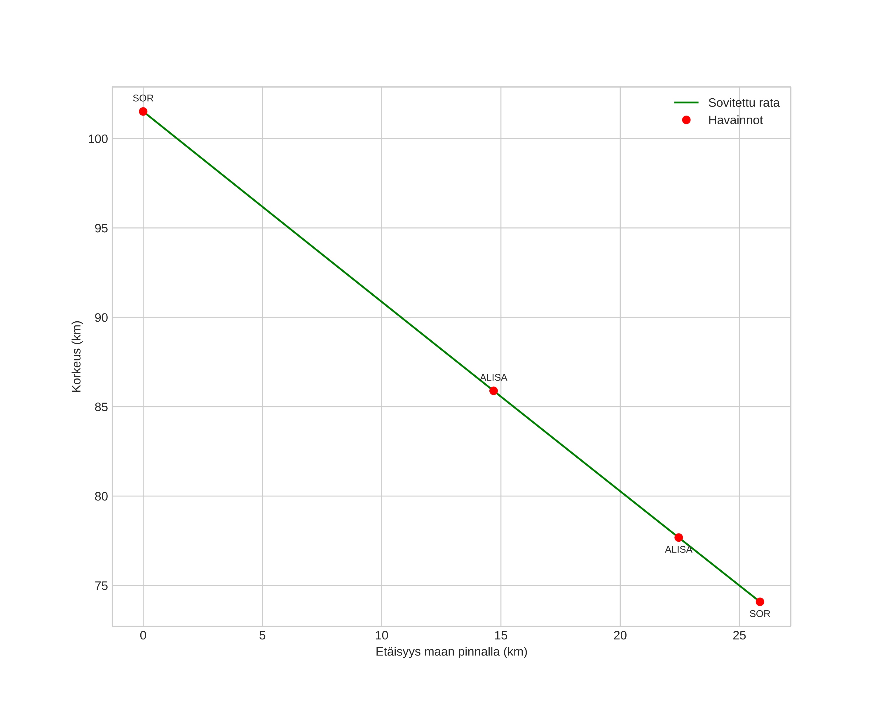
height profile
Meteorin ilmakehärata:
Alkukorkeus: 101,5 km
Loppukorkeus: 74,1 km
Alkupiste: 69,523N 18,082E
Loppupiste: 69,306N 17,842E
Suunta: 201,4°
Kallistuskulma: 46,7°
Tulonopeus: 42,5 km/s
Radiantin R,A,: 12:54 (193,7°)
Radiantin Dekl,: 64,3°
Meteoriparvi: Sporadinen
Meteoroidin rataelementit:
Perihelietäisyys: 0,886 AU
Eksentrisyys: 0,880
Inklinaatio: 67,4°
Nousevan solmun pituus: 195,4°
Perihelin argumentti: 139,3°
Keskianomalia: 1,3°
Epookki: 2018 OCT 09 00:53:26
orbit plot

Ei-interaktiivinen kuvaaja | Interaktiivinen kuvaaja

position vs time
speed and acceleration