🇳🇴 🇬🇧 🇩🇪 🇨🇿 🇫🇮

Meteor, poloha: Moen 2018-10-18 04:39:32 UTC

Soubor KML  |  InteraktivnĂ­ mapa

Mapa zobrazuje dráhy meteoru. Světlejší čáry ukazují směry od pozorovacích stanic při objevení se meteoru a tmavší čáry, kde byl naposledy viděn. Modrá šipka značí viditelnou dráhu meteoru.

static map
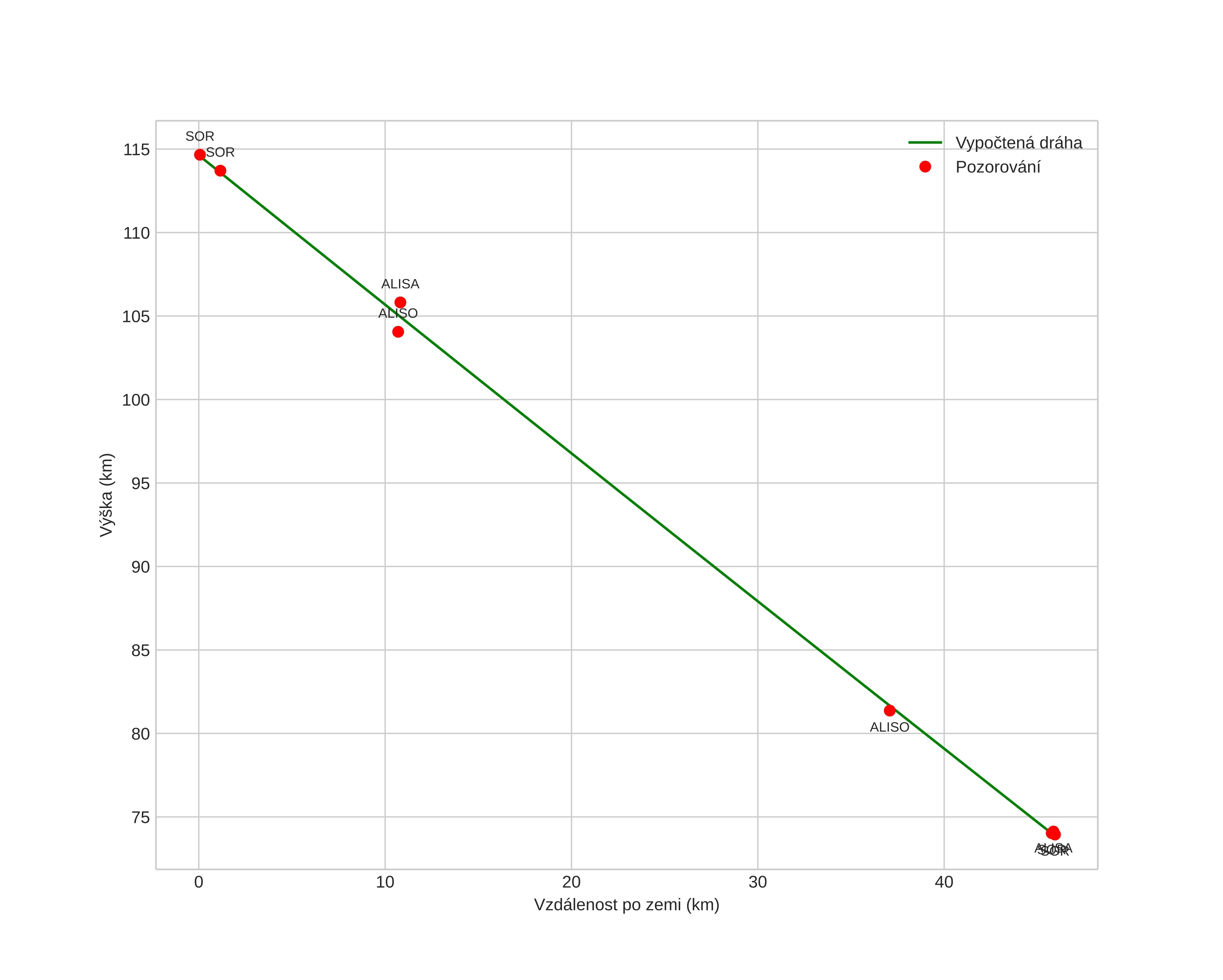
height profile
Atmosférická dráha meteoru:
Počáteční výška: 114,6 km
Konečná výška: 73,9 km
Počáteční poloha: 69,262N 19,940E
Konečná poloha: 69,358N 18,804E
Směr: 284,1°
Sklon: 41,6°
VstupnĂ­ rychlost: 57,7 km/s
Rektascenze radiantu: 11:48 (177,1°)
Deklinace radiantu: 33,5°
MeteorickĂ˝ roj: sporadickĂ˝
Elementy dráhy meteoroidu:
Vzdálenost v periheliu: 0,404 AU
Excentricita: 1,138
Sklon dráhy: 96,0°
Délka vzestupného uzlu: 204,5°
Argument perihelia: 83,2°
Střední anomálie: 6,9°
Epocha: 2018 OCT 18 04:39:32
orbit plot

NeinteraktivnĂ­ graf | InteraktivnĂ­ graf

position vs time
speed and acceleration