🇳🇴 🇬🇧 🇩🇪 🇨🇿 🇫🇮

Meteor, poloha: Fagernes 2018-10-18 21:51:04 UTC

Soubor KML  |  InteraktivnĂ­ mapa

Mapa zobrazuje dráhy meteoru. Světlejší čáry ukazují směry od pozorovacích stanic při objevení se meteoru a tmavší čáry, kde byl naposledy viděn. Modrá šipka značí viditelnou dráhu meteoru.

static map
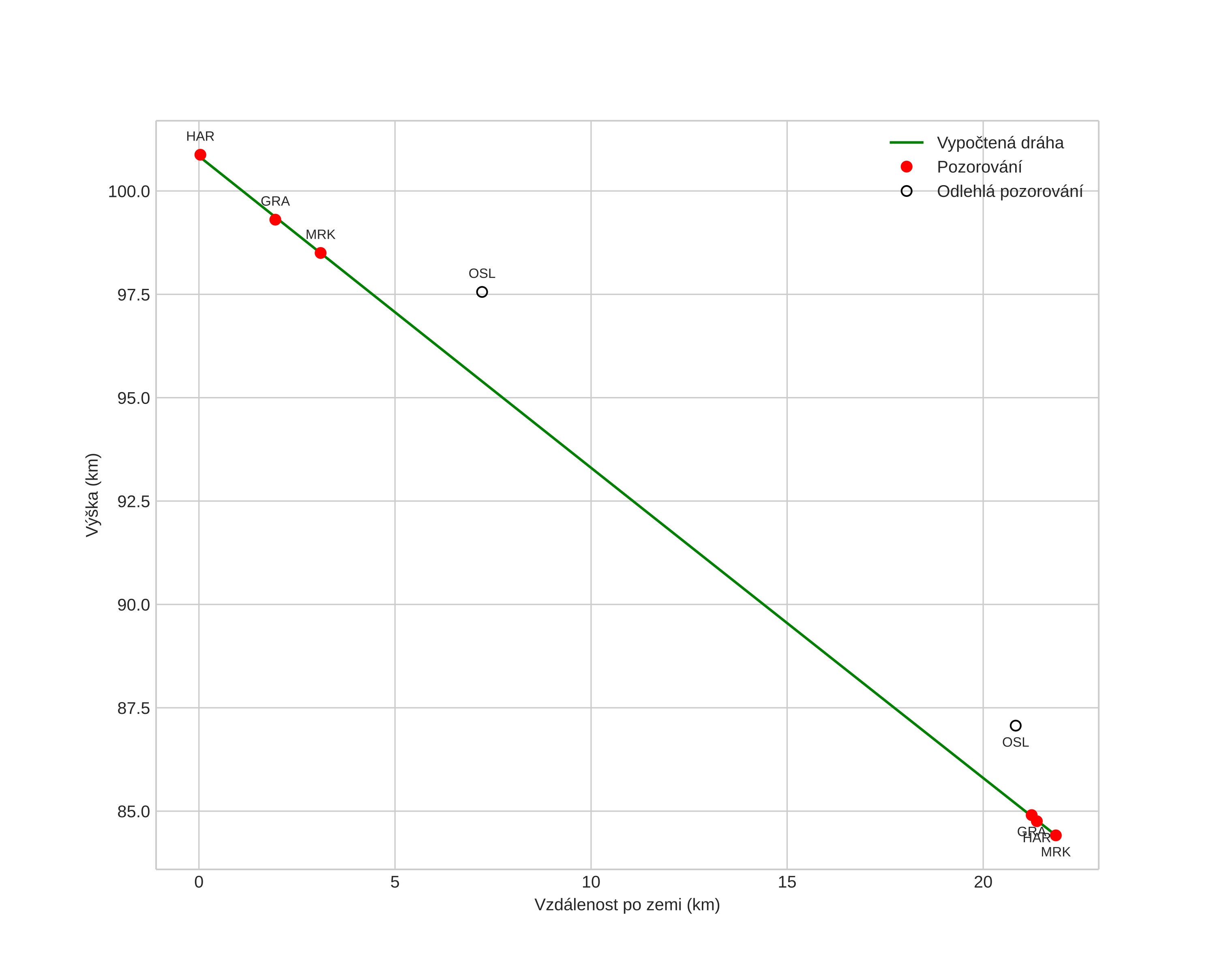
height profile
Atmosférická dráha meteoru:
Počáteční výška: 100,8 km
Konečná výška: 84,4 km
Počáteční poloha: 61,213N 9,687E
Konečná poloha: 61,100N 9,353E
Směr: 235,2°
Sklon: 36,9°
VstupnĂ­ rychlost: 69,8 km/s
Rektascenze radiantu: 06:56 (104,2°)
Deklinace radiantu: 48,1°
MeteorickĂ˝ roj: sporadickĂ˝
Elementy dráhy meteoroidu:
Vzdálenost v periheliu: 0,879 AU
Excentricita: 1,258
Sklon dráhy: 136,0°
Délka vzestupného uzlu: 205,2°
Argument perihelia: 217,9°
Střední anomálie: -3,6°
Epocha: 2018 OCT 18 21:51:04
orbit plot

NeinteraktivnĂ­ graf | InteraktivnĂ­ graf

position vs time
speed and acceleration