🇳🇴 🇬🇧 🇩🇪 🇨🇿 🇫🇮

Meteor, poloha: Setermoen 2018-10-21 19:49:37 UTC

Soubor KML  |  InteraktivnĂ­ mapa

Mapa zobrazuje dráhy meteoru. Světlejší čáry ukazují směry od pozorovacích stanic při objevení se meteoru a tmavší čáry, kde byl naposledy viděn. Modrá šipka značí viditelnou dráhu meteoru.

static map
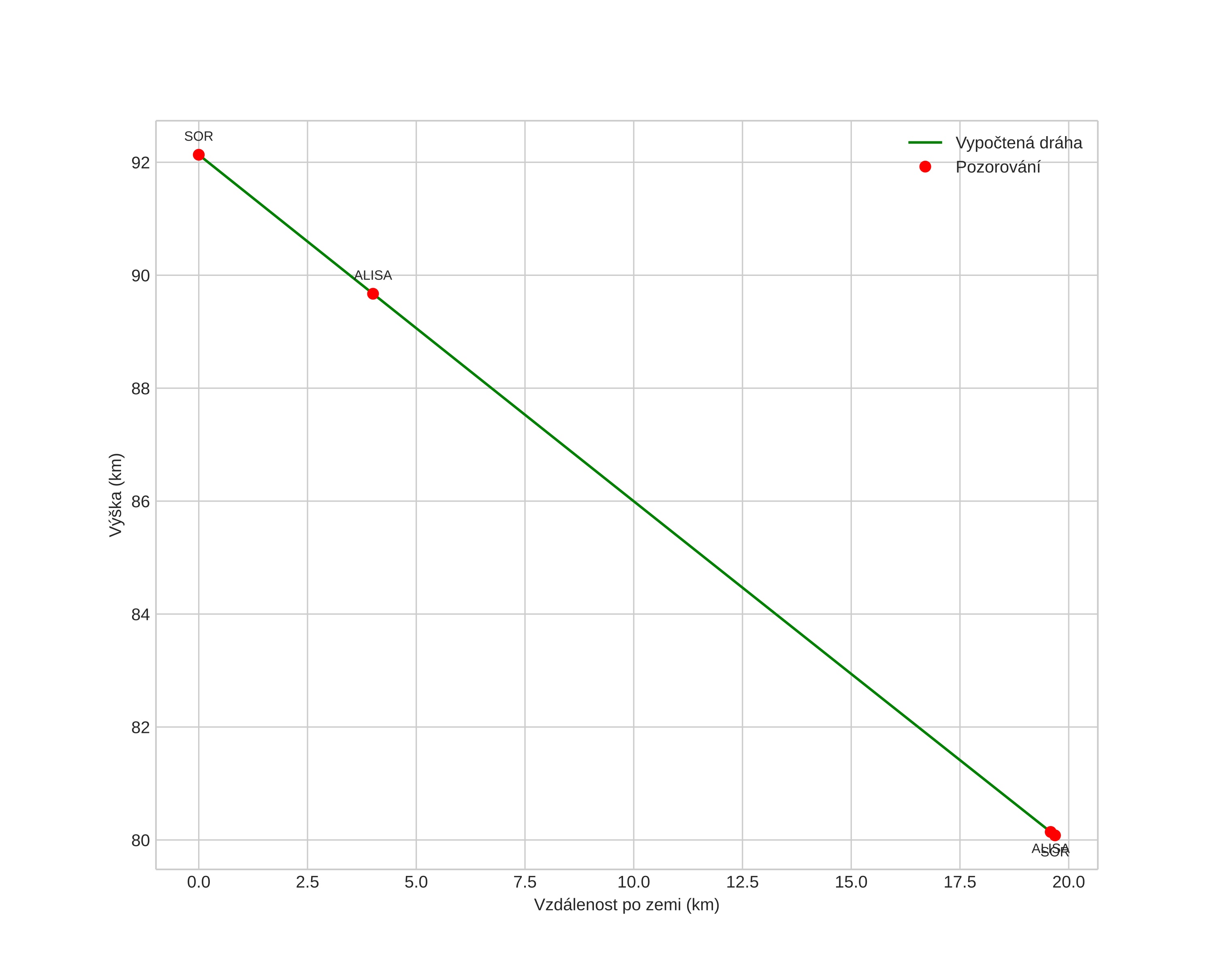
height profile
Atmosférická dráha meteoru:
Počáteční výška: 92,1 km
Konečná výška: 80,1 km
Počáteční poloha: 68,805N 19,049E
Konečná poloha: 68,867N 18,590E
Směr: 290,8°
Sklon: 31,4°
VstupnĂ­ rychlost: 38,5 km/s
Rektascenze radiantu: 03:04 (46,1°)
Deklinace radiantu: 20,7°
MeteorickĂ˝ roj: sporadickĂ˝
Elementy dráhy meteoroidu:
Vzdálenost v periheliu: 0,160 AU
Excentricita: 0,945
Sklon dráhy: 7,2°
Délka vzestupného uzlu: 208,1°
Argument perihelia: 316,8°
Střední anomálie: 352,9°
Epocha: 2018 OCT 21 19:49:37
orbit plot

NeinteraktivnĂ­ graf | InteraktivnĂ­ graf

position vs time
speed and acceleration