🇳🇴 🇬🇧 🇩🇪 🇨🇿 🇫🇮

Meteor, poloha: VĂĄgaholmen 2018-10-24 02:30:01 UTC

Soubor KML  |  InteraktivnĂ­ mapa

Mapa zobrazuje dráhy meteoru. Světlejší čáry ukazují směry od pozorovacích stanic při objevení se meteoru a tmavší čáry, kde byl naposledy viděn. Modrá šipka značí viditelnou dráhu meteoru.

static map
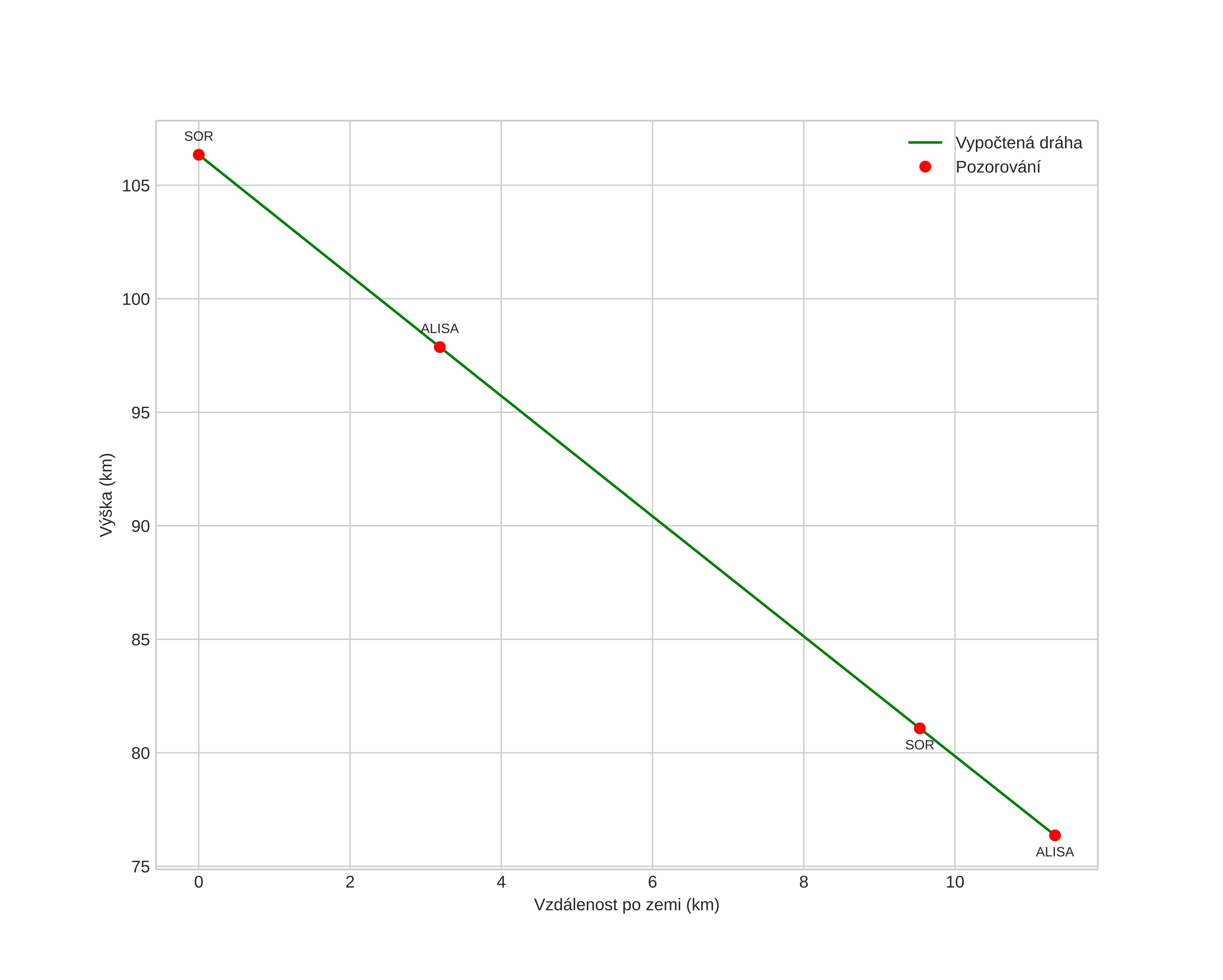
height profile
Atmosférická dráha meteoru:
Počáteční výška: 106,3 km
Konečná výška: 76,4 km
Počáteční poloha: 66,711N 13,463E
Konečná poloha: 66,750N 13,225E
Směr: 292,4°
Sklon: 69,3°
VstupnĂ­ rychlost: 69,8 km/s
Rektascenze radiantu: 07:45 (116,3°)
Deklinace radiantu: 53,6°
MeteorickĂ˝ roj: sporadickĂ˝
Elementy dráhy meteoroidu:
Vzdálenost v periheliu: 0,931 AU
Excentricita: 1,463
Sklon dráhy: 126,9°
Délka vzestupného uzlu: 210,4°
Argument perihelia: 206,8°
Střední anomálie: -5,6°
Epocha: 2018 OCT 24 02:30:01
orbit plot

NeinteraktivnĂ­ graf | InteraktivnĂ­ graf

position vs time
speed and acceleration