🇳🇴 🇬🇧 🇩🇪 🇨🇿 🇫🇮

Meteor, poloha: Eidsvoll 2018-10-26 23:13:37 UTC

Soubor KML  |  InteraktivnĂ­ mapa

Mapa zobrazuje dráhy meteoru. Světlejší čáry ukazují směry od pozorovacích stanic při objevení se meteoru a tmavší čáry, kde byl naposledy viděn. Modrá šipka značí viditelnou dráhu meteoru.

static map
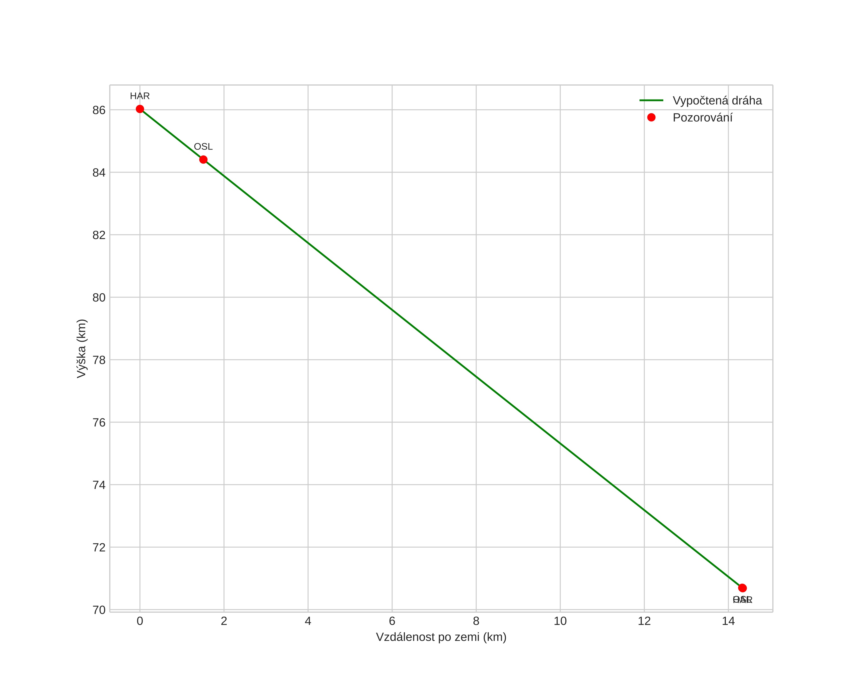
height profile
Atmosférická dráha meteoru:
Počáteční výška: 86,0 km
Konečná výška: 70,7 km
Počáteční poloha: 60,551N 11,103E
Konečná poloha: 60,473N 11,312E
Směr: 127,0°
Sklon: 46,9°
VstupnĂ­ rychlost: 18,5 km/s
Rektascenze radiantu: 19:55 (298,9°)
Deklinace radiantu: 52,6°
MeteorickĂ˝ roj: sporadickĂ˝
Elementy dráhy meteoroidu:
Vzdálenost v periheliu: 0,987 AU
Excentricita: 0,569
Sklon dráhy: 22,2°
Délka vzestupného uzlu: 213,2°
Argument perihelia: 191,6°
Střední anomálie: 357,4°
Epocha: 2018 OCT 26 23:13:37
orbit plot

NeinteraktivnĂ­ graf | InteraktivnĂ­ graf

position vs time
speed and acceleration