🇳🇴 🇬🇧 🇩🇪 🇨🇿 🇫🇮

Meteor, poloha: Oppeid 2018-10-29 17:11:11 UTC

Soubor KML  |  InteraktivnĂ­ mapa

Mapa zobrazuje dráhy meteoru. Světlejší čáry ukazují směry od pozorovacích stanic při objevení se meteoru a tmavší čáry, kde byl naposledy viděn. Modrá šipka značí viditelnou dráhu meteoru.

static map
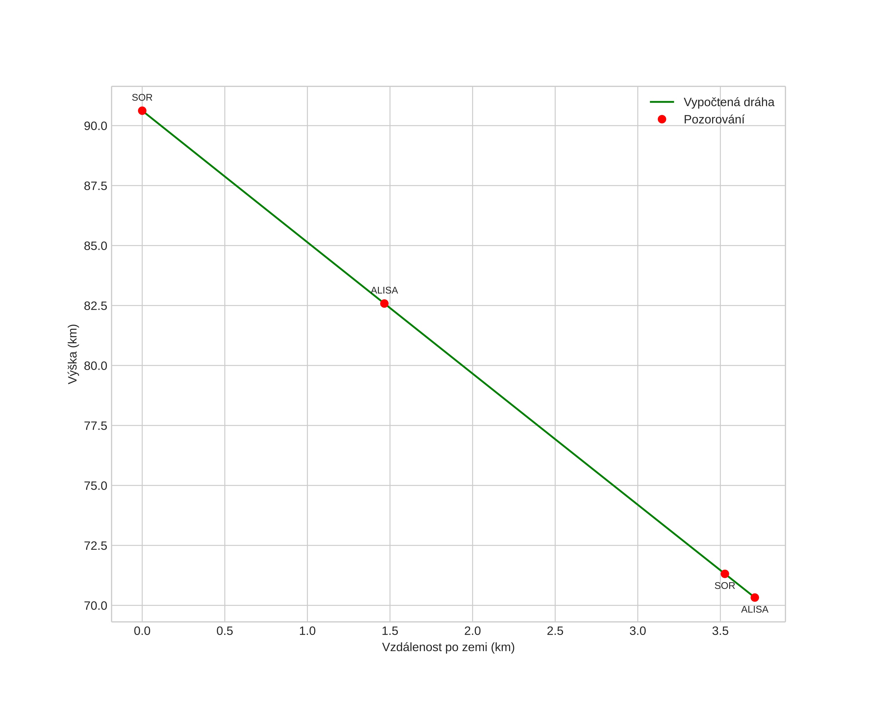
height profile
Atmosférická dráha meteoru:
Počáteční výška: 90,6 km
Konečná výška: 70,3 km
Počáteční poloha: 67,874N 16,076E
Konečná poloha: 67,889N 15,997E
Směr: 296,9°
Sklon: 79,6°
VstupnĂ­ rychlost: 21,5 km/s
Rektascenze radiantu: 22:06 (331,5°)
Deklinace radiantu: 61,1°
MeteorickĂ˝ roj: sporadickĂ˝
Elementy dráhy meteoroidu:
Vzdálenost v periheliu: 0,928 AU
Excentricita: 0,592
Sklon dráhy: 26,8°
Délka vzestupného uzlu: 216,0°
Argument perihelia: 214,6°
Střední anomálie: 352,5°
Epocha: 2018 OCT 29 17:11:11
orbit plot

NeinteraktivnĂ­ graf | InteraktivnĂ­ graf

position vs time
speed and acceleration