🇳🇴 🇬🇧 🇩🇪 🇨🇿 🇫🇮

Meteor, poloha: Røst 2018-11-19 03:15:49 UTC

Soubor KML  |  InteraktivnĂ­ mapa

Mapa zobrazuje dráhy meteoru. Světlejší čáry ukazují směry od pozorovacích stanic při objevení se meteoru a tmavší čáry, kde byl naposledy viděn. Modrá šipka značí viditelnou dráhu meteoru.

static map
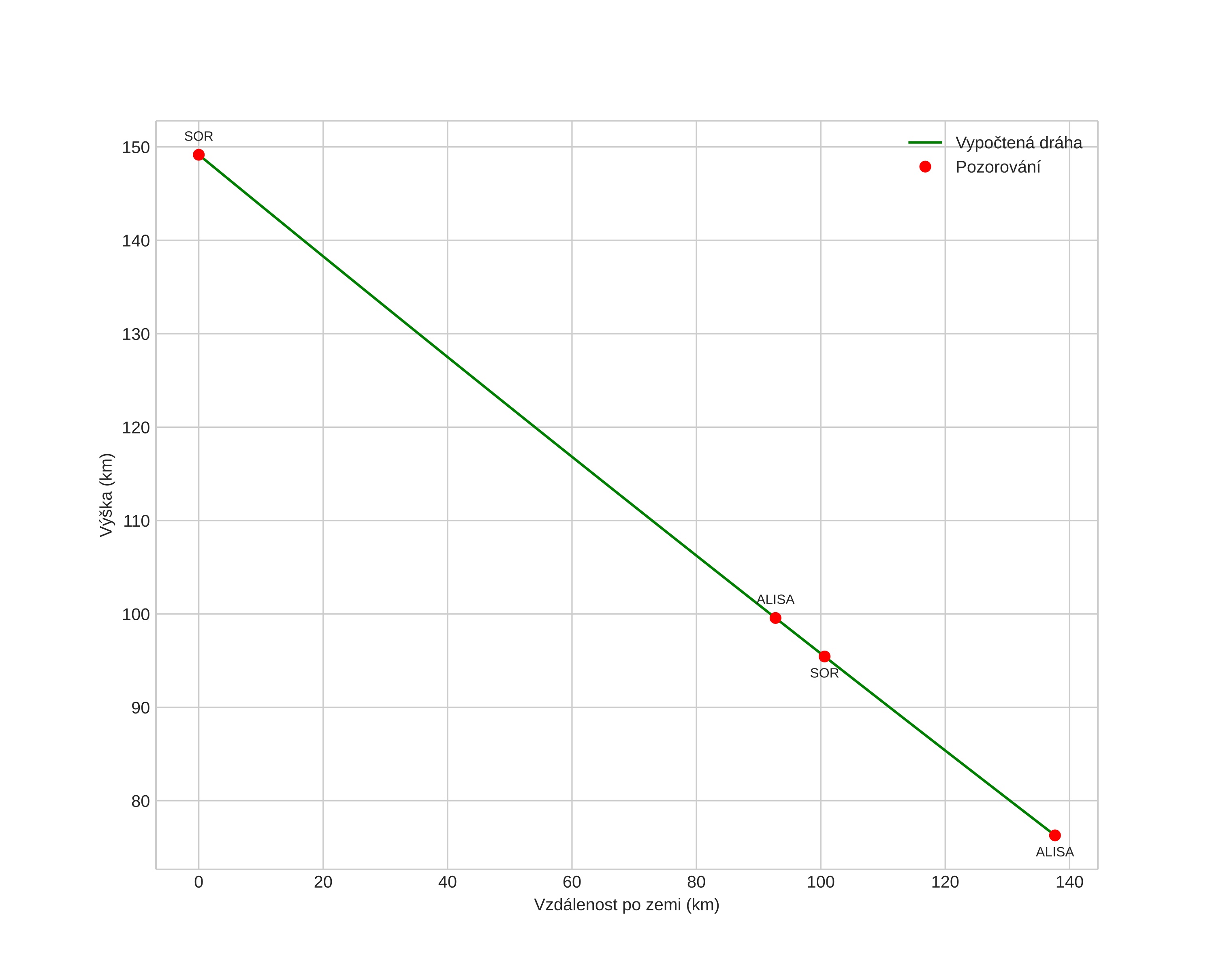
height profile
Atmosférická dráha meteoru:
Počáteční výška: 149,2 km
Konečná výška: 76,3 km
Počáteční poloha: 69,899N 6,723E
Konečná poloha: 70,071N 10,305E
Směr: 80,4°
Sklon: 27,9°
VstupnĂ­ rychlost: 131,5 km/s
Rektascenze radiantu: 02:49 (42,4°)
Deklinace radiantu: 22,6°
MeteorickĂ˝ roj: sporadickĂ˝
Elementy dráhy meteoroidu:
Vzdálenost v periheliu: 0,353 AU
Excentricita: 8,066
Sklon dráhy: 14,8°
Délka vzestupného uzlu: 236,5°
Argument perihelia: 253,9°
Střední anomálie: -1004,7°
Epocha: 2018 NOV 19 03:15:49
orbit plot

NeinteraktivnĂ­ graf | InteraktivnĂ­ graf

position vs time
speed and acceleration